阿摩線上測驗
登入
首頁
>
教甄◆數學
>
115年 - 115-2 台北市立建國高級中學_正式教師甄選試題:數學科#138704
> 申論題
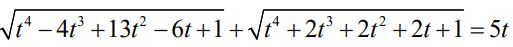
1.若t為實數且滿足方程式
,則t的值為_________。
相關申論題
2.空間中有一個六角錐O-ABCDEF,底面為邊長2√2的正六邊形ABCDEF,線段垂直底面且=√7+1,令平面OBF和平面OCE的二面角為θ,則sinθ的值為_________。(答案請簡化為的型式,其中a,b為正整數)
#568472
3.實係數多項式f(x)=4x²+bx+c,且滿足f(f(1))=f(f(2))=f(f(3))=d,則數組(b,c,d)=_________。
#568473
4.在坐標平面上,橢圓Γ的方程式為。設直線Lm,P是斜率為m且通過P點的直線,其中m<0,點P為橢圓Γ上的點,設直線Lm,P與x軸、y軸所圍成的封閉三角形面積為Am,P,考慮所有m<0及所有橢圓Γ上的點P,則Am,P的最小值為_________。
#568474
5.如下圖,扇形AOB的圓心角∠AOB=θ,=1,圓O₁與、弧均相切,圓On+1與圓On外切,並與均相切,且令圓On的面積為an(∀n∈ℕ),則極限的值為_________。
#568475
6.形如(其中12≤p≤99)的最簡分數中,最接近的最簡分數為_________。
#568476
7.如下圖(示意圖,不代表精準圖形),平面上有一圓內接四邊形ABCD,滿足=5:10:11,∠ACD=3∠ACB,∠ACB<45°,=48,則線段的長度為_________。
#568477
8.在5×5的方格棋盤共25個格子中,要求每一行和每一列都恰有3個格子被塗黑,則有_________種不同的塗法。
#568478
9.在坐標平面上,以原點O為圓心的單位圓上有相異三點A,B,C並依此順序逆時針排列,∠AOB=α,∠BOC=β,α,β皆為正實數。若α+β=且平面上恰一點P滿足,則cosα的值為_________。
#568479
10.若k為整數且-5≤k≤5,將滿足|x+2y-5|+|3x+4y-k|≤10的所有(x,y)畫在坐標平面上會形成一個封閉區域,設此封閉區域的面積為A,且(A-1)是10的倍數,則所有滿足題意的整數k為_________。
#568480
11.若p,q均為質數,且p<q,則滿足pq|(3p+3q)的所有數對(p,q)為_________。
#568481
相關試卷
115年 - 115-1 臺中市立文華高級中等學校_教師甄選專業知能試題:數學科#138727
115年 · #138727
115年 - 115-2 台北市立建國高級中學_正式教師甄選試題:數學科#138704
115年 · #138704
115年 - 115-1 國立嘉科實驗高級中學_教師甄選試題_國中部:數學科#138695
115年 · #138695
115年 - 115-1 臺北市立中正高級中學_專任教師甄選初試試題:數學科#138690
115年 · #138690
115年 - 115-1 國立羅東高中_教師甄選初試︰數學科#138675
115年 · #138675
115年 - 115-1 臺南市立沙崙國際高級中學高中部_教師甄選試題:數學科#138673
115年 · #138673
115年 - 115-1 國立蘭陽女子高級中學_教師甄選試題︰數學科#138666
115年 · #138666
115年 - 115-1 新竹縣立湖口高中_正式教師甄選試題:數學科#138653
115年 · #138653
115年 - [無官方正解]115-1 國立屏科實驗高級中等學校_教師甄選:高中數學科#138645
115年 · #138645
115年 - 115-1 國立屏科實驗高級中等學校_教師甄選試題:國中數學科#138641
115年 · #138641