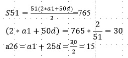
24. 有一等差級數共有 51 項,總和為 765,請問第 26 項的數字是多少?
(A)15
(B)23
(C)51
(D)68
答案:登入後查看
統計: A(193), B(33), C(22), D(9), E(0) #1790508
統計: A(193), B(33), C(22), D(9), E(0) #1790508
詳解 (共 5 筆)
#4762703

1
0
#4134892

0
0