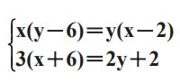
3. 解聯立方程式
,則 y-x=?
(A)\(\frac{32}{3}\)
(B)\(\frac{40}{3}\)
(C)\(\frac{50}{3}\)
(D)\(\frac{64}{3}\)
答案:登入後查看
統計: A(1), B(0), C(0), D(0), E(0) #3873967
統計: A(1), B(0), C(0), D(0), E(0) #3873967