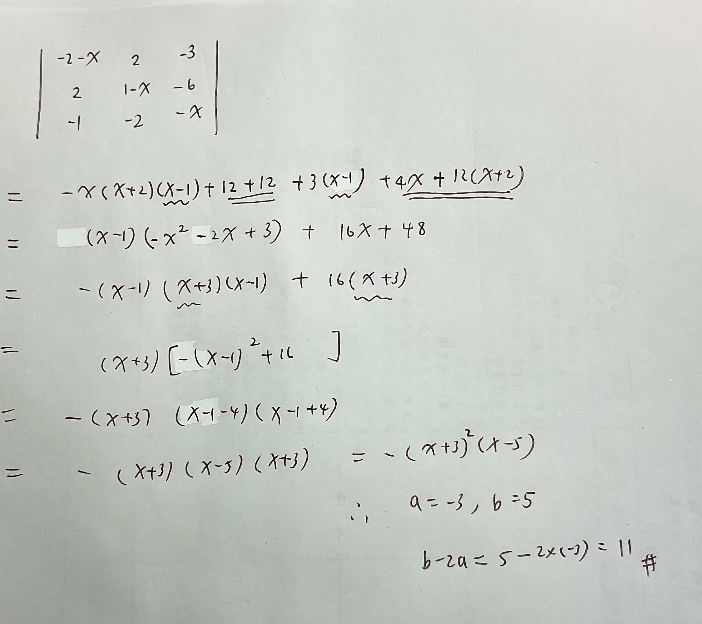
34. 若
,則 b-2a = ?
(A)-1
(B)- 7
(C)11
(D)13
答案:登入後查看
統計: A(1), B(2), C(11), D(0), E(0) #2936272
統計: A(1), B(2), C(11), D(0), E(0) #2936272
詳解 (共 1 筆)
#6112176

0
0