阿摩線上測驗
登入
首頁
>
電子學
> 100年 - 100 中央造幣廠_新進人員甄試_評價職位/電機技術員:電子學概要#93827
100年 - 100 中央造幣廠_新進人員甄試_評價職位/電機技術員:電子學概要#93827
科目:
電子學 |
年份:
100年 |
選擇題數:
0 |
申論題數:
19
試卷資訊
所屬科目:
電子學
選擇題 (0)
申論題 (19)
(1)Q
1
與Q
2
電晶體為 NPN 還是 PNP?【4 分】
(2)Q
1
屬於何種放大組態?(CE、CC、CB)。【3 分】
(3)Q
2
屬於何種放大組態?(CE、CC、CB)。【3 分】
(4)Q
1
射極電流
為何?【5 分】
(5)從Vi 看入的輸入阻抗 Ri 為何?【5 分】
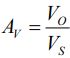
(6)總電壓增益
為若干?【5 分】
(1)此電晶體為 N 通道還是 P 通道?【4 分】
(2)此電路的偏壓方式為何?(固定式偏壓、分壓式偏壓、汲極回授偏壓)【3 分】
(3)此電路中電晶體為何種放大組態?(CS、CD、CG 放大) 【3 分】
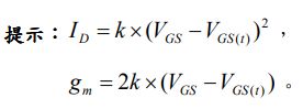
(4)汲極電流
為何?【5 分】
(5)互導增益
為何?【5 分】
(6)電壓增益
為若干?【5 分】
(1)繪製二極體(diode)、稽納二極體(Zener diode)、發光二極體(light emitting diode , LED) 的電路符號。【6 分】
(2)繪製二極體的等效電路並說明之。【6 分】
(3)繪製具有變壓器中心抽頭式的二極體全波整流電路(rectifier)並說明之。【6 分】
(4)繪製全橋式的二極體全波整流電路(rectifier)並說明之。【7 分】
(1)【圖 1】中,若輸入電壓 V
1
=3V、V
2
=2V,則輸出電壓 V
0
為多少?【9 分】
(2)【圖 2】中,若輸入電壓 V
1
=2V、V
2
=3V,則輸出電壓 V
0
為多少?【8 分】
(3)【圖 3】中,若輸入電壓 V
1
=3V、V
2
=2V,則輸出電壓 V
0
為多少?【8 分】
相關試卷
114年 - 114 地方政府公務特種考試_三等_電力工程、電子工程、電信工程:電子學#134800
114年 · #134800
114年 - 114 地方政府公務特種考試_四等_電力工程、電子工程、電信工程:電子學概要#134742
114年 · #134742
114年 - 114 專技高考_電子工程技師:電子學#133712
114年 · #133712
114年 - 114 公務升官等考試_薦任_電力工程、電子工程、電信工程:電子學#133247
114年 · #133247
114年 - 114 原住民族特種考試_四等_電子工程:電子學概要#130947
114年 · #130947
114年 - 114 專技高考_專利師(選試專業英文及電子學)、專利師(選試專業日文及電子學):電子學#130110
114年 · #130110
114年 - 114 普通考試_電力工程、電子工程、電信工程:電子學概要#128790
114年 · #128790
114年 - 114 高等考試_三級_電力工程、電子工程、電信工程:電子學#128768
114年 · #128768
113年 - 113-2 國營臺灣鐵路股份有限公司_從業人員甄試試題_第10階-助理技術員-電務 第10階-助理技術員-電力:電子學概要#137201
113年 · #137201
113年 - 113 臺灣菸酒股份有限公司_從業職員及從業評價職位人員甄試試題_從業職員_電子電機:電子學#133997
113年 · #133997