阿摩線上測驗
登入
首頁
>
統測◆04電機與電子群資電類◆(二)數位邏輯、數位邏輯實習、電子學實習、計算機概論
> 100年 - 100 二技統測_電機類_專業科目(二):自動控制(含實習)、計算機概論#18234
100年 - 100 二技統測_電機類_專業科目(二):自動控制(含實習)、計算機概論#18234
科目:
統測◆04電機與電子群資電類◆(二)數位邏輯、數位邏輯實習、電子學實習、計算機概論 |
年份:
100年 |
選擇題數:
40 |
申論題數:
0
試卷資訊
所屬科目:
統測◆04電機與電子群資電類◆(二)數位邏輯、數位邏輯實習、電子學實習、計算機概論
選擇題 (40)
1. 若某系統的數學模型為
,其中 s 為拉氏運算子。則此系統為下列何種 系統? (A) 線性非時變 (B) 線性時變 (C) 非線性非時變 (D) 非線性時變 的
2. 某離散系統的數學模型為差分方程式
,則其轉移函數 為何?
3. 某系統的動態方程式為
, x(0) 為其初始值。若令輸入為零, 輸出之拉氏轉換滿足
,則G (s )為何?
4. 某多輸入多輸出系統的轉移函數矩陣為
,若輸入
且 U
2
(s) =0 ,則當t >= 0,輸出 y
2
( t) 為何?
5. 某標準二階系統,阻尼比
,若其初始值為零,輸入 u(t)=2u
s
(t) ,其中 u
s
(t) 為單位步階函數,則其最大超越量為何? (A) 1 - e
-π
(B) 1 - 2e
-π
(C) e
-π
(D) 2e
-π
6. 某標準二階系統之最大超越量發生的時間為 t
max
= π ,若阻尼比
,初始值為零, 輸入u(t)=5u
s
(t),其中 u
s
(t) 為單位步階函數,則其終值5 %以內的安定時間約為何?
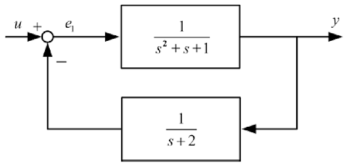
7. 如圖(一)所示之單位負回授系統,其受控體轉移函數為
,其中 常數 aTK , , 皆大於零,若初始值為零且對應於單位步階輸入的穩態誤差
為 0.1,則 K 值為何?
(A) 10 (B) 18 (C) 22 (D) 27 圖(一) 的
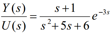
8. 如圖(二)所示之控制系統中,若輸入為單位步階函數,則穩態誤差
為何?
(A) 0 (B) 0.67 (C) 1.56 (D) ∞ 圖(二) 的
9. 某控制系統的特性方程式為 s
5
-5s
4
+12s
3
-6s
2
-8s+16=0 ,則其在複數平面右半平面的 極點共有幾個? (A) 5 (B) 4 (C) 3 (D) 2 的
10.則在 實軸上互不接觸的根軌跡共有幾段? (A) 1 (B) 2 (C) 3 (D) 4 的
11.承接第 10 題, K 的變動範圍改為 -∞
12.某系統的動態方程式為
,若系統為不可觀測,則 b 值為何? (A) 0 (B) 1 (C) 2 (D) 3 的 公告 試題電機類 專業科目(二) 共 8 頁 第 4 頁
13.某系統的動態方程式為
,若系統的轉移函數為
,則a 值為何? (A) -2 (B) -1 (C) 0 (D) 1 的
14.某系統的狀態方程式為
,則使系統穩定 的 K 值範圍為何?
15.某系統的係數矩陣
,則其狀態轉移矩陣 e
At
為何?
16.某系統的轉移函數為
,當頻率
時,
增益分別為B1和B2分貝,則( B1 , B2 )為何? (A) (0, -3) (B) (0, 0) (C) (0 , 3) (D) ( 0, 20)
17.某一相位超前控制器的轉移函數為
,則此控制器提供最大相位時的頻率 為何? (A) 4 rad/sec (B) 2 rad/sec (C) 0.5 rad/sec (D) 0.25 rad/sec 的
18.某一相位落後控制器的轉移函數為
,則此控制器所能提供的高頻增益為 多少分貝? (A) -40 (B) -20 (C) 0.1 (D) 10 的
19.某系統的狀態方程式為
,若閉迴路 系統的極點分別為-2 和-3,則 a 值為何? (A) 3 (B) 2 (C) -2 (D) -3 的
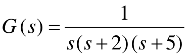
20.某單位負回授控制系統,其開迴路轉移函數為
,則此系統的增益 邊限為何? (A) 20 log(70) (B) 20 log(50) (C) 20 log(30) (D) 20 log(10)
21.若以快速排序法 ( Quick Sort )將數列 11,13,10,14,15,12 由小到大排序,則排列完成 須執行幾次排序過程? (A) 5 (B) 4 (C) 3 (D) 2 的
22.使用 800 MHz 系統之匯流排的 CPU,其資料寬度為 64 位元,則其傳輸的資料頻寬 為何? (A) 6.4GB/sec (B) 12.8GB/sec (C) 25.6GB/sec (D) 51.2GB/sec 的
23.把 CPU 的時間切割成許多小片段,輪流分配給每個使用者的每個工作,這種系統名稱 為何? (A) 分時系統 (B) 批次處理 (C) 分散式系統 (D) 平行處理系統 的
24.布林代數的敘述 X ( X +Y ) = Z ‧ 若為真,則下列組合何者正確?
(A) X = 0,Y =0 ,Z =1 (B) X = 0,Y = 1,Z = 1(C) X = 1,Y = 0,Z =0 (D) X = 1,Y = 1,Z = 1
25.下列哪個軟體是屬於程式開發工具? (A) Vista (B) Linux (C) WinRAR (D) C++ 的
26.關於資料壓縮技術的敘述,下列何者正確? (A) 霍夫曼碼( Huffman Coding )屬於失真壓縮 (B) MP3 ( MPEG-1 Audio Layer 3 )用於壓縮聲音資料,屬於非失真壓縮 (C) MPEG ( Moving Picture Experts Group )用於壓縮聲音影像資料,屬於失真壓縮 (D) JPG ( Joint Photographic Experts Group )用於壓縮圖形資料,屬於非失真壓縮 的
27.壓縮檔案的工作是由下列何者完成? (A) 作業系統 (B) 系統開發工具 (C) 公用程式 (D) 文書處理軟體 的
28.電腦為了有更好的執行能力,採用支援多 CPU 的主機板,稱為多處理器系統 ( Multiprocessor System ),也被稱為下列何種系統? (A) 平行系統( Parallel System ) (B) 分散式系統( Distributed System ) (C) 叢集系統( Clustered System ) (D) 即時系統( Real-time System ) 的
29.一般程式開發的流程中,下列何者為編譯器所產生的檔案? (A) 程式碼 (B) 列印檔 (C) 執行檔 (D) 目的檔 的
30.行程狀態圖( Process State Diagram )中,等待( Waiting )狀態結束後會進入哪種狀態? (A) 新建( New ) (B) 就緒( Ready ) (C) 執行( Running ) (D) 結束( Terminated ) 的
31.十進位數字 13 所對應的反射格雷碼( Reflected Gray Code )為何? (A) 0010 (B) 1110 (C) 1011 (D) 1111 的
32.五層的完滿二元樹( Full Binary Tree )共有幾個節點? (A) 32 (B) 31 (C) 30 (D) 28 的 公告 試題電機類 專業科目(二) 共 8 頁 第 6 頁
33.三個處於就緒( Ready )狀態的行程( Process ),其所需的CPU執行時間分別為 P1( 6毫秒 )、 P2( 12 毫秒)、P3( 24 毫秒),若採用最短工作先作排程( Shortest Job First )則這三個行程的 平均等待時間為何? (A) 6 毫秒 (B) 8 毫秒 (C) 12 毫秒 (D) 24 毫秒
34.關於堆疊( Stack )與佇列( Queue )的敘述,下列何者正確? (A) 堆疊是後進先出( LIFO ),佇列是先進後出( FILO )的串列 (B) 堆疊是後進先出( LIFO ),佇列是先進先出( FIFO )的串列 (C) 佇列是先進先出( FIFO ),堆疊是後進後出( LILO )的串列 (D) 佇列是先進後出( FILO ),堆疊是後進後出( LILO )的串列 的
35.將組合語言( Assembly Language )轉換成機器碼( Machine Code )所需之工具為何? (A) 組譯器( Assembler ) (B) 編譯器( Compiler ) (C) 直譯器( Interpreter ) (D) 連接器( Linker ) 的
36.有關巨集( Macro )的敘述,下列何者錯誤? (A) 取代較常用的程式片段 (B) 程式經過巨集處理器( Macro Processor )處理後的程式碼會變短 (C) 程式看起來比較明瞭易懂 (D) 提升程式的開發效率 的
37.11002與 11008兩數相加之結果若以 16 進制表示,則應為何? (A) 2200 (B) 5A8 (C) 24C (D) A12 的
38.單精確度( Single Precision )的浮點數表示法,能表示指數的範圍為何? (A) -127 ~ +128 (B) + - 127 ~ 128 (C) -256 ~ +255 (D) +256 ~ 255 - 的
39.用 8 位元所表示之 2 的補數表示法其範圍為何? (A) -256 ~ +255 (B) + - 256 ~ 255 (C) +128 ~ 127 -(D) - 128 ~ 127
40.下列何者不屬於結構化程式設計( Structured Programming )的結構? (A) 連續( Concatenation ) (B) 選擇( Selection ) (C) 重複( Repetition ) (D) 遞迴( Recursive )
申論題 (0)
相關試卷
114年 - 114 四技二專統測_電機與電子群電機類_專業科目(二):微處理機、數位邏輯設計、 程式設計實習#126890
114年 · #126890
113年 - 113 四技二專統測_電機與電子群資電類_專業科目(二):微處理機、數位邏輯設計、 程式設計實習#119630
113年 · #119630
112年 - 112 四技二專統測_電機與電子群資電類_專業科目(二):微處理機、數位邏輯設計、 程式設計實習#116833
112年 · #116833
111年 - 111 四技二專統測_電機與電子群資電類_專業科目(二):微處理機、數位邏輯設計、 程式設計實習#107681
111年 · #107681
110年 - 110 四技二專統測_電機與電子群資電類_專業科目(二):數位邏輯、數位邏輯實習、電子學實習、計算機概要#98528
110年 · #98528
109年 - 109 四技二專統測_電機與電子群資電類_專業科目(二):數位邏輯、數位邏輯實習、電子學實習、計算機概論#85147
109年 · #85147
108年 - 108 四技二專統測_電機與電子群資電類_專業科目(二):數位邏輯、數位邏輯實習、電子學實習、計算機概論#79903
108年 · #79903
107年 - 107 四技二專統測_電機與電子群資電類_專業科目(二):數位邏輯、數位邏輯實習、電子學實習、計算機概論#68897
107年 · #68897
106年 - 106 四技二專統測_電機與電子群資電類_專業科目(二):數位邏輯、數位邏輯實習、電子學實習、計算機概論#61688
106年 · #61688
105年 - 105 四技二專統測_電機與電子群資電類_專業科目(二):數位邏輯、數位邏輯實習、電子學實習、計算機概論#75548
105年 · #75548