阿摩線上測驗
登入
首頁
>
研究所、轉學考(插大)-應用數學
> 100年 - 100 淡江大學 轉學考 應用數學#55469
100年 - 100 淡江大學 轉學考 應用數學#55469
科目:
研究所、轉學考(插大)-應用數學 |
年份:
100年 |
選擇題數:
0 |
申論題數:
9
試卷資訊
所屬科目:
研究所、轉學考(插大)-應用數學
選擇題 (0)
申論題 (9)
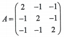
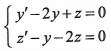
1. Solve the set of equations
subject to the initial conditions y
o
=1, z
o
= 0.
(a) y'' + 2y''-3y = e
x
(b) y''-4y = sin 2x
(a)
【已刪除】(b)
4. (a) Expand the periodic function in a sine-cosine Fourier series
(b) Qualitatively sketch a graph of the sum of three terms of the series. [Hint: Sketch each term separately on the same axes and add the terms graphically.]
5. (a) Evaluate
= ?
(b) Evaluate
= ? for n = l,2, and 3 .
相關試卷
110年 - 110 國立中央大學_碩士班招生考試_天文研究所:應用數學#110498
110年 · #110498
110年 - 110台灣聯合大學系統_碩士班招生考試_物理類:應用數學#104952
110年 · #104952
110年 - 110 國立中央大學_碩士班招生考試_大氣科學學系大氣物理:應用數學#103883
110年 · #103883
110年 - 110 國立中央大學_碩士班招生考試_太空科學與工程學系:應用數學#103880
110年 · #103880
110年 - 110 國立臺灣大學_碩士班招生考試_海洋所物理與化學與地物組(3組聯招):應用數學(B)#100219
110年 · #100219
103年 - 103 淡江大學 轉學考 應用數學#55466
103年 · #55466
102年 - 102 淡江大學 轉學考 應用數學#53110
102年 · #53110
101年 - 101 淡江大學 轉學考 應用數學#55467
101年 · #55467
99年 - 99 淡江大學 轉學考 應用數學#55470
99年 · #55470
98年 - 98 淡江大學 轉學考 應用數學#55890
98年 · #55890