所屬科目:研究所、轉學考(插大)-應用數學
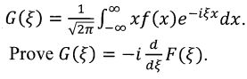
(1)申論題5%)Let the Foure tansform of xf(x)be G,namely
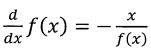
(1) (計算題5%)
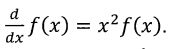
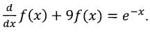
(2) (計算題10%)
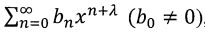
(3) (計算題10% [Hint: Assume f(x) =, and find bn and λ. After that prove f(x) = b0 exp(x3/3).]
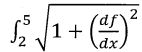
(3) (計算題10%Ui th Ele-agn qutionfi the function f(x) that achieves an extremum of a functional I [f(.)] = dx, with boundary conditions f(2) = 3 and f(5) = 9.
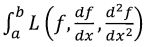
(4)(申論題10%)Obtain the differential equation of f(x)that achieves extremum of a functional I[If(●)]=dx. Here we have a boundary conditions given by f(a) = fa, f(b) = fb, f'(a)=f'a, f'(b)=f'b.
(1)(計算題5%)Obtain the eigen values and eigen vectors of a matrix.
(2)(申論題10%)Assume that is a Hemte matrix, meaning, where "*'' denotes the complex conjugate. Now we consider a linear transformation of vectors = Prove is the inner product of