所屬科目:研究所、轉學考(插大)-應用數學
1. Find orthogonal trajectories of the following curves.(計算題,應詳列計算過程,無計算過程者不予計分)。 (10%)
3. Find a general solution of the following problem.(計算題,請詳列計算過程, 無計算過程者不予計分)。 (15%)
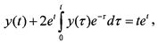
4. Solve the following problem by Laplace transform.(計算題,請詳列計算過程, 無計算過程者不予計分)。 (15%)
5. Evaluate counterclockwise around the boundary Cof the region R by Green's theorem, where F=[y-x],andCthecirclex2+y2=1/4(計算題, 請詳列計算過程,無計算過程者不予計分)。 (15%)
6. Find the Maclaurin series by termwise integrating the integrand.(計算題,請詳 列計算過程,無計算過程者不予計分)。
7. Find the Fourier transformoff(x).(計算題,請詳列計算過程,無計算過程者 不予計分)。(15%)