阿摩線上測驗
登入
首頁
>
研究所、轉學考(插大)-應用數學
> 101年 - 101 淡江大學 轉學考 應用數學#55467
101年 - 101 淡江大學 轉學考 應用數學#55467
科目:
研究所、轉學考(插大)-應用數學 |
年份:
101年 |
選擇題數:
0 |
申論題數:
5
試卷資訊
所屬科目:
研究所、轉學考(插大)-應用數學
選擇題 (0)
申論題 (5)
(1) Find the eigenvalues and eigenvectors of the following matrix
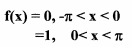
(2) Expand in a Fourier series the function f(x) sketched in following.
(3) Solve the following 2nd-order differential equation
(4)
(5) Use Lagrange's equation to find the equation of motion of a particle in terms of the polar coordinate variables r and θ.