所屬科目:國中會考基測◆數學科
1. 若下列只有一個圖形不是圖(一)的展開圖,則此圖為何?
(A) (B) (C) (D)
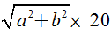
5. 圖(二)為平面上圓O與四條直線L1、L2、L3、L4的位置關係。若圓O的半徑為20 公分,且O點到其中一直線的距離為14公分,則此直線為何? (A) L1 (B) L2 (C) L3 (D) L4
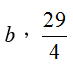
6. 圖(三)數線上A、B、C、D、E、S、T七點的座標分別為-2、-1、0、1、2、s、t。若數線上有一點R,其座標為 |s-t+1|,則R會落在下列哪一線段上? (A) (B) (C) (D)
7. 圖(四)為A、B、C、D四點在座標平面上的位置,其中O為原點,。根據圖中各點座標,求D點座標為何? (A) (B) (C)(0,5) (D)(0,6)
8. 如圖(五),座標平面上二次函數y=x2+1的圖形通過A、B兩點,且座標分別為()、(),則的長度為何? (A) 5 (B) (C) (D)
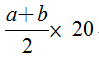
11. 圖(六)為某大樓一、二樓水平地面間的樓梯臺階位置圖,共20階水平臺階,每臺階的高度均為a公尺,寬度均為b公尺()。求圖中一樓地面與二樓地面的距離為多少公尺? (A) 20α (B) 20b (C) (D)
12. 圖(七)平面上有兩個全等的正十邊形ABCDEFGHIJ、A'B'C'D'E'F'G'H'I'J',其中A點與A'點重合,C點與C '點重合。求∠BAJ'的度數為何? (A) 96 (B) 108 (C) 118 (D) 126