阿摩線上測驗
登入
首頁
>
燃氣渦輪機
> 100年 - 100-2 專技高考_一等管輪(加註):燃氣渦輪機#41027
100年 - 100-2 專技高考_一等管輪(加註):燃氣渦輪機#41027
科目:
燃氣渦輪機 |
年份:
100年 |
選擇題數:
40 |
申論題數:
0
試卷資訊
所屬科目:
燃氣渦輪機
選擇題 (40)
1.絕對理想氣體之下列何種過程的比容是增加的? (A).絕熱壓縮(B).絕熱膨脹(C).定溫放熱 (D).定壓放熱
2.渦輪機旋轉葉片之內部機構一般為何種結構? (A).蜂巢結構(B).實心結構(C).空心結構(D).多孔結構
3.壓縮機的轉子須在極高的轉速下運轉,因此在製造過程中,下列何者之測定相當重要? (A).轉速(B).耐高壓(C).動力平衡(D).耐高溫
4.下列何者並非複壓衝擊式渦輪機之優點? (A).降低輪葉速度(B).降低燃氣速度(C).每一級之功率相等或可依設計分配每一級之功率(D).增加燃氣溫度
5.設有一布累登(Brayton)循環,其最高溫度T3為1800K,最低溫度T1為300K,空氣比熱比 K=1.4,氣體常數R=0.287 kJ/(kg·K),空氣之等壓比熱Cp= 1.0045 kJ/(kg·K)。若等熵壓縮開始時 氣壓P1=0.1Mpa,每公克空氣一循環所吸收之熱量為1 kJ,進氣體積V1=6×10
-4
m
3
,求壓縮機出 口溫度T2為多少K?(A).954(B).875(C).842(D).804
6.燃氣渦輪機,理論反應度係為那兩者間的比值? (A).動葉內等熵之焓值降落對於定葉和動葉內等熵之焓值降落和(B).定葉內等熵之焓值降落對於定葉和動葉內等熵之焓值降落和(C).動葉內壓力降落對於定葉和動葉內壓力降落之和 (D).定葉內壓力降落對於定葉和動葉內壓力降落之和
7.船舶燃氣渦輪機燃油系統的低壓燃油泵,一般採用何種形式? (A).齒輪泵(B).離心泵(C).可變行程的柱塞式油泵(D).恒量供油的齒輪式油泵
8.燃氣渦輪機之葉片覆環單元(Shroud segment)其主要功能為何? (A).提供環形表面(B).降低級間之動態不平衡(C).降低製造成本(D).提供葉尖之動態平衡
9.空氣由進口經過軸流式空氣壓縮機時,其出口壓力之變化情形為何? (A).空氣壓力不變,與壓縮機級數無關(B).空氣壓力變大,與壓縮機級數無關(C).空氣壓力變大,但壓力依壓縮機級數而定(D).空氣壓力變小,但壓力依壓縮機級數而定
10.在渦輪機中,下列何者不是戽斗(Bucket)之組成元件? (A).導葉(B).軸承 (C).鳩尾 (D).導葉座台
11.在最大輪葉速比之內,衝擊式渦輪機之效率,隨其輪葉速比增加而有何變化? (A).效率迅速增加 (B).效率不變 (C).效率降低 (D).效率平緩增加
12.壓縮機(Compressor)在旋轉中,由於轉子(Rotor)不平衡所產生之振動力(Vibrational force)與旋轉速度呈何種正比關係? (A).平方根 (B).一次方 (C).平方 (D).三次方
13.燃氣渦輪機常採用Brayton循環為標準循環,其組成之過程包括為何? (A).等溫壓縮→等容加熱→等溫膨脹→等容放熱 (B).等熵壓縮→等容加熱→等熵膨脹→等容放熱 (C).等溫壓縮→等壓加熱→等溫膨脹→等壓放熱 (D).等熵壓縮→等壓加熱→等熵膨脹→等壓放熱
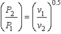
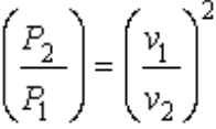
14.若壓縮機假設為理想等溫壓縮,且假設壓縮之空氣為理想氣體,令符號 P
1
= 壓縮前之壓力,P
2
= 壓縮後之壓力,v
1
= 壓縮前之比容,v
2
= 壓縮後之比容,k = 比熱比(C
p
/C
v
),則其壓力與比 容間之變化關係為何? (A).
(B).
(C).
(D).
15.下列有關燃氣渦輪機之敘述何者不正確? (A).燃氣渦輪機之空氣消耗率遠較同馬力之柴油機為高 (B).燃氣渦輪機之空氣進口管路愈小愈好,使空氣得以較高速率進入,並不造成壓力之損失 (C).燃氣渦輪機之熱效率遠較同馬力之柴油機為低 (D).燃氣渦輪機之燃油消耗率遠較同馬力之柴油機為低
16.布累登(Brayton)循環,若沒有再生(Regenerative)、中間冷卻(Intercooling)和再熱 (Reheat)之循環稱為: (A).半開式循環 (B).閉式循環 (C).開式循環 (D).半閉式循環
17.流體流經管路系統中之閥門、孔板等設備時,其壓力降低的現象稱為: (A).壓縮 (B).膨脹 (C).擴散 (D).節流
18.單級離心式壓縮機所能產生之最大壓縮比約為多少? (A).2:1 (B).6:1 (C).8:1 (D).12:1
19.下列何者為開式燃氣渦輪機之標準循環? (A).布累登(Brayton)循環(B).狄塞爾(Diesel)循環(C).奧圖(Otto)循環 (D).史特林(Stirling)循環
20.具有再生器之開式循環燃氣渦輪機與下列何種裝置同時使用時,其熱效率之增加較單獨使用再生 器者為高?(A).中間冷卻器(Intercooler)(B).再熱器(Reheater)(C).節熱器(Economizer)(D).鼓風機(Blower)
21.何種型式壓縮機之工作流體於離開動葉後需旋轉90度,進入燃燒室會產生高溫高壓? (A).軸流式壓縮機(B).離心式壓縮機(C).活塞式壓縮機 (D).正排量式壓縮機
22.燃氣渦輪機使用淨油機提供燃油之敘述,下列何者錯誤? (A).可以省略燃油系統之過濾器(B).提升燃燒效率(C).有效去除燃油的水分及雜質(D).減少渦輪機葉片損害
23.有關燃氣渦輪機將燃油平均送至每一個燃燒室之敘述,下列何者正確? (A).參考各獨立燃燒室內燃油噴嘴之壓力變化,調節燃油供應量(B).參考各獨立燃燒室內的溫度變化,調節燃油供應量(C).依據燃油泵的轉速快慢,將燃油平均送至每一燃燒室 (D).依據渦輪機的轉速快慢,調節燃油供應量
24.船舶燃氣渦輪機進口段若造成於壓縮機入口處之流量分布不均,會導致壓縮機產生何種變化? (A).效率降低(B).軸承發熱(C).波振(Surging)(D).工作流體回流再壓縮
25.液態燃料噴嘴形式中,有關空氣噴射氣霧化噴嘴之敘述,下列何者錯誤? (A).燃燒的特徵可由低亮度的藍色火焰,較冷的燃燒壁及少量的煙來判別(B).需要額外的壓縮機增加複雜性及重量(C).這種形式的噴嘴有貧油熄火的現象 (D).噴嘴周圍的空氣流中會分離霧化的燃料
26.漸縮漸擴噴嘴於正常使用時喉部之速度大約為何? (A).亞音速(Subsonic velocity)(B).超音速(Supersonic velocity)(C).音速(Sonic velocity)(D).零速度
27.燃氣渦輪機進氣道的空氣進口處,在設計上應盡可能的安裝在船舶的何處? (A).愈靠近壓縮機愈好(B).最高處(C).甲板上 (D).主機房
28.為確保燃氣渦輪機功能有效,必須具備那兩項條件? (A).①適當的起動與適當的操作程序,②適當的預防與適當的保養程序(B).①適當的起動與精準的控制,②適時的維修與檢查(C).①適時的對燃燒系統進行檢查,②適時的對輪葉進行檢查(D).①適時對引擎磨耗部分進行檢查,②適時檢查引擎各站的溫度與壓力
29.有關燃油控制系統設計的敘述,下列何者錯誤? (A).控制引擎的油-氣比例在適當的範圍之內(B).燃油控制系統的設計,需要能夠依據動力輸出調節燃油流量(C).當燃燒區域溫度快速增加,容易使空氣回流至壓縮機而造成壓縮機損壞(D).當燃油流量增加的速率比空氣流量增加的速率快很多,容易造成燃氣渦輪機熄火
30.有關壓縮機的可變角度定子葉片之敘述,下列何者錯誤? (A).可使用一排或多排可變角度定子葉片,葉片的角度能隨操作狀況之變化自動變換(B).可變角度定子葉片之功能為增加壓縮機的壓力比(C).可由一圓柱桿向外以徑向延伸方式穿過孔洞而連接到機殼端的連桿(D).在壓縮機的進氣前數級應用可變角度定子葉片
31.下列何種裝置可提供CODAG/CODOG較佳的推進與操縱效果? (A).減速齒輪(B).動力連結器(C).自動換檔離合器(D).可變螺距螺槳
32.有關CODAG在船舶推進應用時轉速與負載的敘述,下列何者錯誤? (A).柴油機提供一般航行時之馬力(B).提升最高馬力點的設計僅須考慮燃氣渦輪機之額定轉速(C).高輸出馬力時柴油機與燃氣渦輪機並聯使用 (D).最高馬力輸出由兩種原動機一起提供
33.理想的布萊頓循環(Brayton cycle)由那4個過程所組成? (A).兩個等熵、兩個等容過程(B).兩個等熵、兩個等溫過程(C).兩個等熵、兩個等壓過程(D).兩個等壓、兩個等溫過程
34.有關燃氣渦輪機與蒸汽渦輪機特性的比較敘述,下列何者錯誤? (A).燃氣渦輪機重量較輕(B).燃氣渦輪機占空間較小(C).在保養上,燃氣渦輪機可採模組化換裝設計 (D).燃氣渦輪機燃油價格便宜,且不需特別處理
35.大部分的燃氣渦輪機安全控制系統都包含許多保護引擎之項目,但不包括下列何者? (A).避免超速(B).高溫(C).防止潤滑中斷(D).空氣過量
36.在起動初期,燃氣渦輪機的進口會因為燃燒的緣故,容易產生高溫的現象,為避免此現象,下列 何者應盡可能維持在標準的範圍內?(A).尖峰負載(B).油氣比(C).燃油壓力(D).空氣量
37.燃氣渦輪機起動裝置,將燃氣渦輪機起動到可持續維持運轉的速度。此轉速亦即是指可在獨立增 加燃油流量的狀況下,持續的使燃氣渦輪機運轉速度加快,而不需要其他任何設備的輔助。一般 此轉速大約設定在燃氣產生器(Gas generator)全速運轉的多少%?(A).20~40(B).30~50(C).40~60(D).50~70
38.燃氣渦輪機與蒸汽渦輪機比較,其最主要的優點為何? (A).出力較大(B).可迅速起動並使用(C).震動較低 (D).使用劣質燃油
39.為確保燃氣渦輪機之儀器讀數正確,通常幾個月校正一次? (A).6(B).12(C).18(D).24
40.燃氣渦輪機使用的滑油,不宜使用下列何者予以冷卻? (A).水冷卻(B).空氣冷卻(C).氨氣冷卻(D).燃油冷卻
申論題 (0)
相關試卷
112年 - 112-2 交通部航港局船員岸上晉升適任性評估筆試測驗_一等大管輪:燃氣渦輪機#116853
112年 · #116853
109年 - 109-3 航海人員測驗_一等管輪(加註):船舶主機-燃氣渦輪機#90251
109年 · #90251
109年 - 109-2 航海人員測驗_一等管輪(加註):船舶主機-燃氣渦輪機#86517
109年 · #86517
106年 - 106-3 航海人員測驗_一等管輪(加註):船舶主機-燃氣渦輪機#66409
106年 · #66409
101年 - 101-1 專技高考_一等管輪(加註):燃氣渦輪機#40074
101年 · #40074
101年 - 101-1 專技普考_二等管輪(加註):燃氣渦輪機#40073
101年 · #40073
101年 - 101-2 專技高考_一等管輪(加註):燃氣渦輪機#40071
101年 · #40071
100年 - 100-3 專技高考_一等管輪(加註):燃氣渦輪機#41022
100年 · #41022
100年 - 100-4 專技高考_一等管輪(加註):燃氣渦輪機#41018
100年 · #41018
100年 - 100-1 專技高考_一等管輪(加註):燃氣渦輪機#40768
100年 · #40768