阿摩線上測驗
登入
首頁
>
水文學
> 101年 - 101 地方政府特種考試_三等_水利工程:水文學#26220
101年 - 101 地方政府特種考試_三等_水利工程:水文學#26220
科目:
水文學 |
年份:
101年 |
選擇題數:
0 |
申論題數:
6
試卷資訊
所屬科目:
水文學
選擇題 (0)
申論題 (6)
一、某一集水區裡共有三個雨量站A、B、C,某年六月在A、B、C雨量站所測得的雨量 分別為P
A
= 20 cm、P
B
= 10 cm、P
C
= 30 cm。假設集水區的平均雨量可利用徐昇多邊 形法(Thiessen polygons)來估計,而雨量站A、B、C的對應面積分別為A
A
= 3 km
2
、A
B
= 2 km
2
、A
C
= 3 km
2
。若該月份在集水區集流口處所測得的平均地表逕流量為 320 m
3
/hr 。若集水區降水損失僅考慮蒸發散損失,忽略土壤中水份與其他變化量,試計算該月 份集水區之蒸發散損失量(以m表示)?(20 分)
【已刪除】二、某一流域其三小時單位歷線如下表所示:
若此流域降下一場延時為 2 小時之雨量,其中第一小時降雨強度為 2.5 cm/hr,而第 二小時降雨強度為 1.5 cm/hr,已知其入滲
φ
指數為 5 mm/hr,河川基流量為 10 m
3
/s, 試推求此場降雨於該流域所造成之洪水歷線?(20 分)
【已刪除】三、某一小集水區之年總逕流量為標準常態分佈,其平均值和變異數各為 36 cm和 29 cm
2
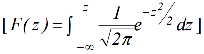
。 試計算未來四年中發生二次年總逕流量大於或等於 25 cm之機率?(20 分) 標準常態分佈累積機率表
【已刪除】四、某一河川斷面資料如下表第一列和第二列所示。下表第三列資料為其在 0.6 倍水深處使 用流速儀所測得兩分鐘內之流速儀的轉數。若其流速儀轉速與河川流速可由下式表示:
,試計算此河川之流量(以m
3
/s表示)? (20 分)
⑴自由含水層上方所須之補注量 W(以 mm/day 表示)? (10 分)
⑵自不透水岩盤起算之最高地下水位高程 h
max
(以m表示)? (10 分)
相關試卷
114年 - 114 地方政府公務特種考試_三等_水利工程:水文學#134678
114年 · #134678
114年 - 114 地方政府公務特種考試_四等_水利工程:水文學概要#134671
114年 · #134671
114年 - 114 專技高考_水利工程技師:水文學#133647
114年 · #133647
114年 - 114 公務升官等考試_薦任_水利工程:水文學#133156
114年 · #133156
114年 - 114 高等考試_三級_水利工程:水文學#128745
114年 · #128745
114年 - 114 普通考試_水利工程:水文學概要#128617
114年 · #128617
114年 - 114 身心障礙特種考試_三等_水利工程:水文學#126637
114年 · #126637
113年 - 113 地方政府公務特種考試_三等_水利工程:水文學#124455
113年 · #124455
113年 - 113 地方政府公務特種考試_四等_水利工程:水文學概要#124423
113年 · #124423
113年 - 113 專技高考_水利工程技師:水文學#123957
113年 · #123957