阿摩線上測驗
登入
首頁
>
試驗設計
> 101年 - 101 地方政府特種考試_三等_農業技術:試驗設計#36678
101年 - 101 地方政府特種考試_三等_農業技術:試驗設計#36678
科目:
試驗設計 |
年份:
101年 |
選擇題數:
0 |
申論題數:
29
試卷資訊
所屬科目:
試驗設計
選擇題 (0)
申論題 (29)
【已刪除】【已刪除】【已刪除】
1.請依完全隨機設計(Completely Randomized Design, CRD)進行變方分析,檢測 品種間及品種內(單株間)之差異顯著性。
【已刪除】⑵觀測值之數學模式為:
式中 τ
i
為處理(品種)效益, ε
ij
為試驗誤差。
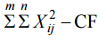
【已刪除】⑶平方和(SS)之計算 1.校正因子 CF= X
2
⋅⋅ / m⋅n 2.總平方和 SST=
3.處理(品種)平方和 SSt=
4.機差平方和 SSE=SST − SSt
⑷自由度:處理(品種)間=m −1,,機差= m (n− 1) ,合計=mn −1
【已刪除】⑸
【已刪除】【已刪除】
1.先就缺值 y 估算之後再依隨機完全區集設計進行變方分析。 y=[ mT+n R −G ]/[(m −1)(n −1)]
【已刪除】2.觀測值之數學模式為:
式中 τ
i
為處理(品種)效應,β
j
為第 j 區集效應, ε
ij
為第 i 處理第 j 區集之 試驗誤差。
【已刪除】3.平方和(SS)之計算 1.校正因子 CF=X
2
⋅⋅ / m⋅ n 2.總平方和 SST=
3.處理(品種)平方和 SSt=
4.區集平方和 SSB=
5.機差平方和 SSE=SST − SSt −SSB
4.自由度:處理(品種)間=m −1,區集間=n −1,機差=(m −1)(n −1)−1, 合計=(mn −1) −1
(5)
【已刪除】【已刪除】
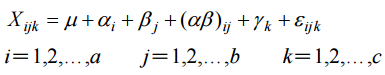
⑴請依兩因子巢氏(摺疊)設計進行變方分析,並依 F 值之檢定結果做出建議-選 種重點應放在「種源層級」或/與「母樹層級」?
【已刪除】⑵觀測值之數學模式為:
式中(i)j表示A因子第i變級下B因子第j個變級,(ij)k表示A及B因子第(ij)組合之第 k個重複。
⑶平方和(SS)之計算 1.校正因子 CF= ( X⋅⋅⋅)
2
/ abn
【已刪除】 2.總平方和 SST
【已刪除】3. A 因子平方和 SS(A)=
【已刪除】 4. B 因子平方和 SS[B(A)]=
5.機差平方和 SSE=SST − SS(A)−SS [B(A)]
⑷自由度:A 因子= a −1, B 因子= a (b− 1) ,機差= ab (n− 1) ,合計=abn −1
⑸實測F值:FA=MSA/MSB(A),F
B(A)
=MSB(A) /MSE
【已刪除】⑹
【已刪除】【已刪除】
1.請依複因子試驗設計進行變方分析,檢測 A 因子與 B 因子有否具顯著性之影響
效應。
【已刪除】⑵觀測值之數學模式:
⑶自由度:A 因子= a −1,B 因子= b −1, A×B = (a − 1)(b−1),區集= c −1, 合計=abc −1
df( 機差)= df(合計)−[df(A 因子) + df(B 因子) + df(A×B) + df(區集)]
⑷實測F值:F
A
=MS(A)/MS (A ×B) F
B
=MS(B)/MS(A ×B) F
A×B
= MS (A×B)/MSE
【已刪除】⑸
相關試卷
114年 - 114 地方政府公務特種考試_三等_農業技術:試驗設計#134716
114年 · #134716
114年 - 114 專技高考_農藝技師:試驗設計#133681
114年 · #133681
114年 - 114 公務升官等考試_薦任_農業技術:試驗設計#133253
114年 · #133253
114年 - 114 高等考試_二級_農業技術:試驗設計#131566
114年 · #131566
114年 - 114 原住民族特種考試_三等_農業技術:試驗設計#130951
114年 · #130951
114年 - 114 高等考試_三級_農業技術:試驗設計#128714
114年 · #128714
113年 - 113 地方政府公務特種考試_三等_農業技術:試驗設計#124510
113年 · #124510
113年 - 113 專技高考_農藝技師:試驗設計#123930
113年 · #123930
113年 - 113 高等考試_二級_農業技術:試驗設計#123074
113年 · #123074
113年 - 113 原住民族特種考試_三等_農業技術:試驗設計#122671
113年 · #122671