阿摩線上測驗
登入
首頁
>
近代物理
> 101年 - 101 專利商標審查特種考試_三等_物理:近代物理#35010
101年 - 101 專利商標審查特種考試_三等_物理:近代物理#35010
科目:
近代物理 |
年份:
101年 |
選擇題數:
0 |
申論題數:
13
試卷資訊
所屬科目:
近代物理
選擇題 (0)
申論題 (13)
⑴請說明慣性座標系(inertial frame of reference)之定義。(3 分)
⑵什麼是狹義相對論之愛因斯坦假設(Einstein’s postulate)?(6 分)
⑶分別寫出狹義相對論之長度縮短(length contraction)、時間擴張(time dilation)、 質量(mass)與速度 v 之關係式子。(6 分)
【已刪除】二、假設一個質量為 m 之電子和一個光子都具有相同的波長 λ,證明此光子能量(E
p
) 與電子動能( Ee )之比為
。式中 c 為光速、h 為 Planck 常數。(15 分)
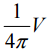
【已刪除】三、假設一個粒子的位置不確定值Δx等於此粒子的 de Broglie 波長 λ(Δx =λ),證明此 粒子的速度不確定值ΔV ≧
,其中V 為粒子的速度。(15 分)
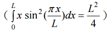
【已刪除】四、一個質量為 m 之粒子,其未歸一本徴函數(unnormalized eigenfunction)為
,其中b為常數。試求出此粒子之能量 E,並解釋此粒子是否為自 由粒子(free particle)。(15 分)
【已刪除】⑴求基態時其位置 x 之期望值〈x〉。
(10 分)
【已刪除】⑵求基態時其動量 p 之期望值〈p〉。
(10 分)
⑴總自旋量子數s′,(3 分)
【已刪除】⑵總軌道量子數
,(3 分)和
⑶總角動 量量子數 j′(total angular momentum quantum number)之可能的值。(4 分)
【已刪除】⑴
【已刪除】和⑵
。 請分別列出⑴和⑵的量子數
n,l,s, j, m
j
之可能的值。(每小題 5 分,共 10 分)
相關試卷
114年 - 114 高等考試_三級_天文:近代物理#128643
114年 · #128643
113年 - 113 高等考試_三級_天文:近代物理#121225
113年 · #121225
112年 - 112 高等考試_三級_天文:近代物理#115423
112年 · #115423
111年 - 111 高等考試_三級_天文:近代物理#109461
111年 · #109461
108年 - 108 地方政府特種考試_三等_天文:近代物理#81605
108年 · #81605
106年 - 106 高等考試_三級_天文:近代物理#63467
106年 · #63467
104年 - 104 高等考試_一級_物理:近代物理研究#29930
104年 · #29930
102年 - 102 高等考試_一級_物理:近代物理研究#34182
102年 · #34182
102年 - 102 地方政府特種考試_三等_天文:近代物理#31346
102年 · #31346