阿摩線上測驗
登入
首頁
>
近代物理
> 102年 - 102 高等考試_一級_物理:近代物理研究#34182
102年 - 102 高等考試_一級_物理:近代物理研究#34182
科目:
近代物理 |
年份:
102年 |
選擇題數:
0 |
申論題數:
16
試卷資訊
所屬科目:
近代物理
選擇題 (0)
申論題 (16)
⑴連續光譜(Continuous spectrum)。(4 分)
⑵不連續線性光譜(Discrete line spectrum)。(4 分)
⑴Alpha α decay,並寫出其衰變過程方程式和衰變 Q 值。(3 分)
⑵Beta β decay,共有三種衰變,分別寫出其各自衰變過程方程式和衰變Q 值。(6 分)
⑶Gamma γ decay。(3 分)
⑴經過時間 t 時,其放射原子核的數目為N(t),證明 N( t) = N
0
e
−λt
。(4 分)
⑵設某一個同位素的半衰期為 34650 年,試求出經過 1000 年後,其 N / N
0
之比值為 何?(註:ln2 = 0.693)(6 分)
⑴設E > V
0
,求在x = 0其穿透係數(transmission coefficient)T 和反射係數(reflection coefficient)R 之總和為何?(T + R =?)(9 分)
⑵設E < V
0
,求其能穿透進入+x 方向之穿透深度(penetration distance)△x 為何? 此處△x 定義為從x = 0到其穿透機率降到 1/e 之點的距離。(5 分)
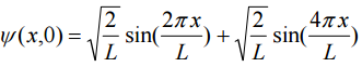
【已刪除】五、一個粒子被限制在一維之無限大位能井內運動,井寬為 L。位能如下所示:
,取波函數之歸一常數為已知在時間t = 0時,此粒子之波函數為 )
算出在較晚時間 t > 0 時,此粒子之波函數ψ(x,t)為何?(12 分)
⑴證明在此 1s 態之徑向機率密度(radial probability density)P(r)在 r = a
0
時,為極大值。 a
0
為 Bohr radius。(5 分)
【已刪除】⑵在此 1s 態,求
之平均值和位能<V>之平均值。(6 分)
【已刪除】⑶已知在此 1s 態之總能量
,求動能<K>之平均值。(3 分)
⑴畫出 5p4f 組態之 LS 耦合分裂之所有能階,並以光譜符號標記每個能階。(10 分)
⑵某一原子的能階間隔關係,如圖所示。請利用 Lande 間隔定則(Lande interval rule)訂定出這些能階所對應之量子數s ′、l′、j′。(8 分)
【已刪除】八、某一原子在弱外加磁場下,求以能階圖畫出從第一激態
到基態
之 Zeeman splitting 的能階,並畫出可能的容許躍遷和找出光譜線的數目。(12 分)
相關試卷
114年 - 114 高等考試_三級_天文:近代物理#128643
114年 · #128643
113年 - 113 高等考試_三級_天文:近代物理#121225
113年 · #121225
112年 - 112 高等考試_三級_天文:近代物理#115423
112年 · #115423
111年 - 111 高等考試_三級_天文:近代物理#109461
111年 · #109461
108年 - 108 地方政府特種考試_三等_天文:近代物理#81605
108年 · #81605
106年 - 106 高等考試_三級_天文:近代物理#63467
106年 · #63467
104年 - 104 高等考試_一級_物理:近代物理研究#29930
104年 · #29930
102年 - 102 地方政府特種考試_三等_天文:近代物理#31346
102年 · #31346
101年 - 101 專利商標審查特種考試_三等_物理:近代物理#35010
101年 · #35010