阿摩線上測驗
登入
首頁
>
高等輸送現象
> 101年 - 101 高等考試_二級_化學工程:高等運送現象#44623
101年 - 101 高等考試_二級_化學工程:高等運送現象#44623
科目:
高等輸送現象 |
年份:
101年 |
選擇題數:
0 |
申論題數:
8
試卷資訊
所屬科目:
高等輸送現象
選擇題 (0)
申論題 (8)
一、在熱傳與質傳中,與動量傳送中動黏度(kinematic viscosity)ν 相對應之物理量為 何?(6 分)
二、在熱傳與質傳之類比方程式中,相對應之無因次群為何?(8 分)
⑴請說明剪應力(shear stress)共有幾個分量,並敘述各個分量之符號(notation)?
⑵其中法應力(normal stress)之施力方向與其他剪應力分量施力方向有何不同?
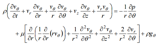
【已刪除】四、二個同軸心之圓柱壁(coaxial cylindrical walls)間填充恆溫之不可壓縮牛頓流體。 內壁及外壁之半徑分別為 κR 及 R 。內壁及外壁分別以 Ω
i
及 Ω
o
的角速度(angular velocity)在轉動。運動方程式為:
請求解填充流體之流場。(25 分)
五、一圓管外面包覆兩層熱絕緣層,圓管之內外半徑分別為 r
0
及 r
1
。第一層(內層)熱 絕緣層之外半徑為 r
2
;第二層(外層)熱絕緣層之外半徑為 r
3
。圓管、第一層及第 二層熱絕緣層之熱傳導度(thermal conductivity)分別為 k
0
、 k
1
及 k
2
。管內及管外 流 體 分 別 保 持 在 T
a
及 T
b
的 溫 度 。 管 子 與 管 內 流 體 間 之 熱 傳 係 數 ( heat transfer coefficient)為 hi ;管子與管外流體間之熱傳係數為 h
o
。請導出計算“基於內管壁面 積之總熱傳係數"(overall heat transfer coefficient based on the inner surface)U
i
之公 式及總熱傳量 Q 之公式。(25 分)
(1)請解釋為何可以作此轉變?(6 分)
【已刪除】 ⑵請利用變數轉換η = x /
,求解轉變後之方程式及邊界條件。(24 分)
相關試卷
111年 - 111 高等考試_二級_化學工程:高等輸送現象#111027
111年 · #111027
104年 - 104 高等考試_二級_化學工程:高等運送現象#41864
104年 · #41864
102年 - 102 高等考試_二級_化學工程:高等運送現象#44023
102年 · #44023
97年 - 97 高等考試_二級_化學工程:高等運送現象#48856
97年 · #48856