阿摩線上測驗
登入
首頁
>
高等輸送現象
>
101年 - 101 高等考試_二級_化學工程:高等運送現象#44623
> 申論題
題組內容
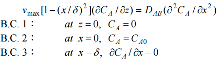
六、考慮一氣體吸收之問題,在液膜經垂直壁往下流動中,氣體中 A 成分被液膜吸收, 液面(座標為 x = 0 )之 A 成分濃度為 C
A0
。液膜與垂直壁接觸處座標為 x = δ ;氣 體與液膜開始接觸處之座標為 z = 0 。系統之統治方程式及邊界條件為:
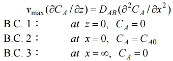
考量氣體與液膜接觸時間很短的情況下,系統之統治方程式及邊界條件可轉變為:
(1)請解釋為何可以作此轉變?(6 分)
相關申論題
一、在熱傳與質傳中,與動量傳送中動黏度(kinematic viscosity)ν 相對應之物理量為 何?(6 分)
#147673
二、在熱傳與質傳之類比方程式中,相對應之無因次群為何?(8 分)
#147674
⑴請說明剪應力(shear stress)共有幾個分量,並敘述各個分量之符號(notation)?
#147675
⑵其中法應力(normal stress)之施力方向與其他剪應力分量施力方向有何不同?
#147676
五、一圓管外面包覆兩層熱絕緣層,圓管之內外半徑分別為 r0 及 r1 。第一層(內層)熱 絕緣層之外半徑為 r2 ;第二層(外層)熱絕緣層之外半徑為 r3 。圓管、第一層及第 二層熱絕緣層之熱傳導度(thermal conductivity)分別為 k 0 、 k1 及 k 2 。管內及管外 流 體 分 別 保 持 在 Ta 及 Tb 的 溫 度 。 管 子 與 管 內 流 體 間 之 熱 傳 係 數 ( heat transfer coefficient)為 hi ;管子與管外流體間之熱傳係數為 ho 。請導出計算“基於內管壁面 積之總熱傳係數"(overall heat transfer coefficient based on the inner surface)U i 之公 式及總熱傳量 Q 之公式。(25 分)
#147678
四、反應物 A 擴散進入半徑為 R 之球狀觸媒(spherical catalyst)反應生成生 成物 B,A → B。反應物 A 於觸媒內之有效擴散係數(effective diffusivity) 為 DA 。觸媒內 A 之單位體積反應速率為 RA = -k1" a c A ,其中 c A 為氣體 A 之濃度。在觸媒表面反應物 A 之濃度為 。請求解觸媒內 A 之濃度分 布及觸媒有效度因數(effectiveness factor)。(25 分)
#475925
三、一起始溫度為 To 之半無窮大(semi-infinite)固體,占據 y = 0 至 y =∞ 之 空間。在時間 t = 0 時, y = 0 之表面溫度突昇為 T1 ,且維持在該溫度。請 以變數轉換η = y / ,α 為熱擴散係數(thermal diffusivity) ,求解固 體之溫度分布 T ( y, t ) 。(25 分)
#475924
二、在一吸收塔實驗中,液體由垂直小圓管內往上流動至頂部後,於外管側 以液膜形式向下流動。液體為牛頓流體,流動為層流,圓管外管側半徑 為 R,外管側液膜厚度為(a-1)R,液體之密度為 ρ ,黏度為 μ 。請求解外 管側液膜之流場,以及液膜之質量流率。(25 分) 註:
#475923
一、一牛頓流體(Newtonian fluid)以層流(laminar flow)流經一水平圓管 內。圓管半徑為 R,管長為 L,壓力差為 p0 - pL ,流體之密度為固定值 ρ,黏度(viscosity)為 μ。請求解流體之體積流率,以及摩擦因數(friction factor)與雷諾數(Reynolds number)間之關係式。(25 分)
#475922
九、當平板表面阻力存在時,一維非穩態平板熱傳導統御方程式之解可以圖二表示。現欲 烤熱一平板牛排,牛排厚度為 3 cm,密度為 1.08 g/cm3,熱含量(cp)為 3.5 J/g/K, 熱傳導係數為 0.5 W/m/K,初始溫度為 20°C。熱空氣溫度維持在 180°C,熱傳係數 為 40 W/m2/K。估計加熱至牛排中心溫度為 100°C 時所需花費的時間。(10 分)
#170667
相關試卷
111年 - 111 高等考試_二級_化學工程:高等輸送現象#111027
111年 · #111027
104年 - 104 高等考試_二級_化學工程:高等運送現象#41864
104年 · #41864
102年 - 102 高等考試_二級_化學工程:高等運送現象#44023
102年 · #44023
101年 - 101 高等考試_二級_化學工程:高等運送現象#44623
101年 · #44623
97年 - 97 高等考試_二級_化學工程:高等運送現象#48856
97年 · #48856