阿摩線上測驗
登入
首頁
>
作業研究
> 101年 - 101-1 中國工業工程學會證照考試_工業工程師:作業研究#16241
101年 - 101-1 中國工業工程學會證照考試_工業工程師:作業研究#16241
科目:
作業研究 |
年份:
101年 |
選擇題數:
20 |
申論題數:
0
試卷資訊
所屬科目:
作業研究
選擇題 (20)
1. 三種產品之生產排程問題中,令 Pij =產品 i 在 j 期的生產量,下列何者代表第二期的產能 為 400 時的限制式? (A) P21 + P22 + P23 ≤ 400 (B) P12 + P22 + P32 ≤ 400 (C) P32 ≤ 400 (D) P23 ≤ 400
2.已知極大化主要問題如下時,下列對偶問題的敘述何者有誤?
(A) 對偶問題之目標函數為:
(B) 對偶問題之目標函數值等於主要問題目標函數值
(C) 對偶問題有 4 個小於等於限制式加上非負限制式
(D) 對偶問題有 4 個大於等於限制式加上非負限制式
3. 下表為最大化線性規劃模式之最佳單形表,請問此題的另一最佳解之基底為何?
(A) (x2= 2, x3=3)
(B) (x1= 2, x3=3)
(C) (x1= 3, x3=2)
(D) (x1= 2, x5=3)
4. 線性規劃理論中對偶變數代表: (A) 限制式的右手邊常數(the right-hand-side value of the constraint) (B) 限制式的邊際價值(the marginal value of the constraint) (C) 人工變數(the artificial variable) (D) 目標函數係數(the coefficient of the objective value)
5. 時,下列敘述何者有誤? (A) a = -3M+3 (B) b = -2M+2 (C) c =M (D) 起始表格目標函數值 d 為 16M
6. 承第 5 題,使用大 M 法產生下一表格時,下列敘述何者正確? (A) 離開變數為 x6 (B) 進入變數為 x2 (C) 下一表格中 Z 列的 x2 係數為 -0.5M+0.5 (D) 下一表格中 Z 列目標函數值為 15
7. 某公司專門製造合金,其中兩種合金是由三種回收金屬冶煉而成。下表顯示兩種合金應含回收金屬的成分(下限及上限百分比),以及每月最多可購得回收金屬的數量及價格。例如,合金 A 對應回收金屬 1 的(20, 40)代表合金 A 最少需 20%、最多 40%的回收金屬 1。建立線性規劃模式以獲得最大的淨利時,令 Xij =回收金屬 i 用於合金j 的生產量,下列何者為正確限制式?
(A) 0.4X
1A
+0.65 X
2A
+0.1 X
3A
≤ 650
(B) X
1A
+ X
1B
≥ 100
(C) 0.2X
1A
+ 0.15
X1B
≤ 0
(D) 0.6X
1A
- 0.4X
2A
-0.4 X
3A
≤ 0
8. 以下各敏感度分析,哪一項的改變將使最佳解產生變動? (A) 改變 C1: 7 → 10 (B) 改變 C1: 7 → 5 (C) 改變 C2: 8 → 10 (D) 改變 C2: 8 → 4
9. 承第 8 題,若獨立考量以下各敏感度分析,哪一項的改變將使最佳基底產生變動? (A) 改變 b1: 10 → 20 (B) 改變 b1: 10 → 8 (C) 改變 b2: 18 → 28 (D) 改變 b2: 18 → 15
10. 承第 8 題,若獨立考量以下各敏感度分析,新增哪一限制式將會使最佳解產生變動?
(A) 新增限制式 2x
1
+3 x
2
≤ 20 (B) 新增限制式 2x
1
+3 x
2
≥ 10 (C) 新增限制式 3x
1
≤ 10 (D) 新增限制式 3x
2
≤ 10
11. 若欲使每天配送總利潤為最高,則西北角法起始解之總利潤為多少? (A) 1927 (B) 1947 (C) 1953 (D) 1963
12. 承第 11 題,最佳解的總利潤為多少? (A) 1927 (B) 1947 (C) 1953 (D) 1963
13. 四種建立運輸問題起始可行基解的方法中,何者未考慮單位運輸成本? (A) 最低成本法 (B) Vogel 近似法 (C) 西北角法 (D) Russell 近似法
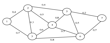
14. 考慮下列道路網路圖,節點為道路交會點,弧上數字代表該道路單位時間的車輛流動上 限。由節點 1 至節點 7 的單位時間內最大流量為何?
(A) 60 (B) 40 (C) 35 (D) 45
15. 因八八風災肆虐過後,莫那預計前往登玉山主峰。山區的道路如下圖所示,其中節點 1
與節點 7 分別為登山口及玉山主峰的所在位置,其餘節點為登山道路的交會點。由於風
災的重創,山中道路很可能已坍方而中斷。根據莫那的經驗判斷,各條道路仍可通行的
機率如該弧上的數字所示。莫那應選擇哪條路徑,才能使得順利登頂玉山主峰的機率最
大?
(A) 1-2-5-7
(B) 1-2-4-5-7
(C) 3-4-5
(D) 1-3-6-7
16. 下列何者
並非
最小擴充樹問題的應用? (A) 最短光纖網路線的設計。 (B) 水利灌溉工程的設計。 (C) 道路積雪的清除。 (D) 消防車行經路線的規劃。
17. 試問要徑的總時間是多少? 作業項目 先行作業 時間(天) (A) 15 天 (B) 16 天 (C) 17 天 (D) 18 天
18. 承上題,若 E 延誤 2 天,G 延誤 1 天,請問專案完成時間為何? (A) 16 天 (B) 17 天 (C) 18 天 (D) 19 天
19. 此專案的正常完工時間為多少週? (A) 20 週 (B) 21 週 (C) 22 週 (D) 23 週
20. 承第 19 題,若希望在 21 週之內完成此專案,則最小總完工成本為多少? (A) 74 萬元 (B) 77 萬元 (C) 80 萬元 (D) 83 萬元
申論題 (0)
相關試卷
114年 - 114 地方政府公務特種考試_三等_工業工程:作業研究#134713
114年 · #134713
114年 - 114 專技高考_工業工程技師:作業研究#133680
114年 · #133680
114年 - 114 高等考試_三級_工業工程:作業研究#128750
114年 · #128750
113年 - 113 地方政府公務特種考試_三等_工業工程:作業研究#124521
113年 · #124521
113年 - 113 專技高考_工業工程技師:作業研究#123885
113年 · #123885
113年 - 113 高等考試_三級_工業工程:作業研究#121489
113年 · #121489
112年 - 112 地方政府特種考試_三等_工業工程:作業研究#118325
112年 · #118325
112年 - 112 專技高考_工業工程技師:作業研究#117594
112年 · #117594
112年 - 112 公務升官等考試_薦任_工業工程:作業研究#117328
112年 · #117328
112年 - 112 高等考試_三級_工業工程:作業研究#115450
112年 · #115450