阿摩線上測驗
登入
首頁
>
作業研究
> 112年 - 112 地方政府特種考試_三等_工業工程:作業研究#118325
112年 - 112 地方政府特種考試_三等_工業工程:作業研究#118325
科目:
作業研究 |
年份:
112年 |
選擇題數:
0 |
申論題數:
4
試卷資訊
所屬科目:
作業研究
選擇題 (0)
申論題 (4)
一、產品 A-321 未來四週之訂單需求為 300, 700, 900, 800 個,必須完全滿足,工廠產能為每週 700 個,因法規工時上限,僅可於第二、三週加班, 加班之產能為每週 200 個。單個生產成本在前兩週為 100 元,後兩週為 150 元,如加班,則單個生產成本會增加 50 元,當週生產過剩之產品可用於滿足未來需求,其每一週之單個儲存成本為 30 元。為決定最佳之每週生產方案,以最小化總相關成本,請建立數學規劃模式,清楚定義決策變數與相關參數、目標式及相關完整限制式。(不須求解) 。(25 分)
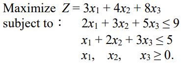
二、在下述之線性規劃模式:(25 分)
以單型法(Simplex method)求解之最終結果如下所示:(x
4
, x
5
為鬆弛變數 slack variables)
針對下述四個參數:b
2
,c
2
,a
22
,c
3
,在維持上表乃為最佳解情況下,試分析計算其可容許範圍(即當其值超過何範圍時,變成非最佳解或非可行解) ,請列出詳細分析過程,缺乏過程不予計分。
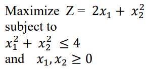
三、請以動態規劃法求解下述之非線性規劃模式:(25 分)
請列出詳細求解過程與最佳解,缺乏求解過程不予計分。
四、針對最基本的 M/M/1 等候模式,假設為顧客進入系統速率, 為顧客服務速率,請分析估計
在一個顧客接受服務期間
:期望顧客進入系統人數,與無顧客進入系統之機率。請清楚定義變數與描述分析過程,僅以 直覺論述回答不予計分。(25 分)
相關試卷
114年 - 114 地方政府公務特種考試_三等_工業工程:作業研究#134713
114年 · #134713
114年 - 114 專技高考_工業工程技師:作業研究#133680
114年 · #133680
114年 - 114 高等考試_三級_工業工程:作業研究#128750
114年 · #128750
113年 - 113 地方政府公務特種考試_三等_工業工程:作業研究#124521
113年 · #124521
113年 - 113 專技高考_工業工程技師:作業研究#123885
113年 · #123885
113年 - 113 高等考試_三級_工業工程:作業研究#121489
113年 · #121489
112年 - 112 專技高考_工業工程技師:作業研究#117594
112年 · #117594
112年 - 112 公務升官等考試_薦任_工業工程:作業研究#117328
112年 · #117328
112年 - 112 高等考試_三級_工業工程:作業研究#115450
112年 · #115450
111年 - 111 地方政府特種考試_三等_工業工程:作業研究#112622
111年 · #112622