阿摩線上測驗
登入
首頁
>
重症呼吸治療學
> 101年 - 101-1 專技高考_呼吸治療師:重症呼吸治療學#36821
101年 - 101-1 專技高考_呼吸治療師:重症呼吸治療學#36821
科目:
重症呼吸治療學 |
年份:
101年 |
選擇題數:
80 |
申論題數:
0
試卷資訊
所屬科目:
重症呼吸治療學
選擇題 (80)
1.下列何種危險因子發生ARDS後的死亡率最高? (A)敗血症(sepsis) (B)藥物過量(drug overdose) (C)多發性骨折(multiple fracture) (D)胰臟炎(pancreatitis)
2.下列何者為recruitment maneuver較少見的併發症? (A)低血壓 (B)低血氧 (C)腦部灌流減少 (D)痰液阻塞
3.有關American-European Consensus Conference對於ARDS的定義,下列何者正確? (A)PaO
2
<300 mm Hg (B)在急性重大傷害48小時後出現 (C)兩側肺部的廣泛浸潤 (D)必須要放置肺動脈導管確認PCWP<18 mm Hg
4.急性呼吸窘迫症候群(acute respiratory distress syndrome)病患使用的呼吸器設定,下列敘述 何者錯誤? (A)潮氣容積(tidal volume)6 mL/kg (B)維持平均氣道壓(mean airway pressure)少於35 cm H
2
O (C)動脈血氧分壓(PaO
2
)維持55~80 mm Hg (D)維持血氧飽和度(oxygen saturation)高於96%
5.急性呼吸窘迫症候群(ARDS)導致急性呼吸衰竭病患,使用適當吐氣末陽壓治療(optimal PEEP therapy)之敘述,下列何者錯誤? (A)PEEP超過upper inflection point(UIP)易導致肺泡過度充氣 (B)PEEP超過lower inflection point(LIP)易導致肺泡塌陷 (C)應調整介於upper inflection point(UIP)及lower inflection point(LIP)之間 (D)可依pressure-volume curve調整適當PEEP
6.體外膜性氧合機(extracorporeal membrane oxygenation,ECMO)治療,採靜脈-靜脈接續 (venovenous access)方式,下列敘述何者錯誤? (A)是治療呼吸衰竭常採用的方式 (B)發生腦血管意外的機率高 (C)下肢不會有缺氧變化 (D)使用經皮穿刺方式(percutaneous techniques)即可
7.急性呼吸窘迫症候群(acute respiratory distress syndrome)病患的死亡率,目前一般大約是: (A)10% (B)40% (C)80% (D)100%
8.下列有關慢性阻塞性肺病病患接受非侵襲性呼吸器治療的敘述,何者錯誤? (A)可以減少院內肺炎的發生 (B)可以增加血液的酸鹼值,降低PaCO
2
(C)對於呼吸性酸血症而言,酸鹼值低於7.2效果最好 (D)不適用於痰量多、意識不清的病患
9.下列何種藥物不適合用於氣喘急性發作? (A)吸入短效抗膽鹼藥物atrovent(ipratropium bromide) (B)吸入短效乙二型交感神經興奮劑(例如berotec, ventolin, bricanyl) (C)吸入長效乙二型交感神經興奮劑serevent(salmeterol) (D)吸入長效乙二型交感神經興奮劑oxis(formoterol)
10.治療肺栓塞的首選藥物為何? (A)纖維蛋白溶解藥物 (B)血小板抑制劑 (C)抗凝血劑 (D)血栓溶解藥物
11.對急性呼吸衰竭病患使用陽壓呼吸器時,下列何種方法無法降低患者的PaCO
2
? (A)清除痰液,減少無效腔 (B)增加呼吸次數、潮氣容積 (C)增加吸、吐時間比值(I/E ratio) (D)以氣管擴張劑、類固醇減少氣道發炎與痙攣(bronchospasm)
12.下列何者是COPD急性發作較為合理之處置? (A)使用鼻管(nasal canula),氧氣流速每分鐘1~2公升 (B)給予口服乙型交感神經抑制劑propranolol(Inderal)40 mg,避免心跳過速 (C)給予100%氧氣 (D)給予鎮靜劑,避免病人過度激動
13.下列何者是吸入類固醇最常見的副作用? (A)咳嗽 (B)聲音嘶啞 (C)口腔黴菌病 (D)肥胖
14.慢性阻塞性肺病病人,因急性發作而呼吸衰竭,此時呼吸器設定吐氣末陽壓(PEEP)的目的為 何? (A)用來對抗內因性吐氣末陽壓(intrinsic PEEP) (B)用來治療急性肺水腫 (C)用來增加PaCO2 (D)用來緩解支氣管攣縮(bronchospasm)
15.Atrovent經由定量噴霧器(metered dose inhaler)之劑量為20 μg,平常使用習慣是2吸,共40 μg;水劑Atrovent一顆為2.5 mL濃度為0.02%,經由nebulizer使用,請問使用何種方式之 Atrovent量較大? (A)使用nebulizer較大 (B)定量噴霧器吸入較大 (C)兩者劑量一樣多 (D)無法計算與比較
16.氣喘病人住院後,下列何種情況表示初步治療無效? (A)FEV
1
<70%預估值 (B)經初步治療後PEFR增加20% (C)經初步治療後PEFR增加15% (D)PEFR持續維持在<50%預估值
17.診斷支氣管擴張症,最常用且安全的診斷工具是: (A)高解析胸部電腦斷層 (B)支氣管鏡 (C)測量吐氣一氧化氮(NO) (D)運動肺功能
18.下列何者為最常造成低血氧之機轉? (A)通氣/灌流失衡(ventilation/perfusion mismatch) (B)分流(shunt) (C)肺泡通氣不足(alveolar hypoventilation) (D)瀰散功能障礙(diffusion impairment)
19.62歲的李先生十幾年來都在門診控制他的慢性C型肝炎及肝硬化,然而近來反覆發生腹部積水, 病況時好時壞;昨晚因呼吸困難急診,當時的體溫為攝氏36.5度,blood gas為pH=7.42、 PaCO
2
=36 mm Hg、PaO
2
=55 mm Hg,血液檢查D-dimer為正常,胸部X光也完全正常;下列 的處置何者最為正確? (A)可能是因腹膜炎引發的肺炎,應立刻將腹水抽光,否則使用呼吸器效果也不佳 (B)可能是因C型肝炎病毒引發的肺栓塞,應立刻給與抗病毒治療 (C)可能是所謂的肝肺症候群(hepatopulmonary syndrome),給與100%的氧氣可能可以部分改 善缺氧的現象 (D)可能是因食道靜脈硬化治療後產生的食道氣管瘻管(TE fistula),應立刻進行手術
20.有關有機磷(organophosphate)中毒的敘述,下列何者正確? (A)Organophosphate可直接結合到nicotic及muscarinic接受器而產生作用 (B)臨床症狀包括瞳孔放大、分泌物減少及口乾 (C)治療藥物包括atropine及pralidoxime(PAM) (D)雖會抑制呼吸中樞但不會影響意識及循環系統
21.病人罹患風濕性關節炎,長期在雙手、下顎與脖子都有關節疼痛之現象,因上消化道出血,連續 數次吐血。為保護氣道,最佳的氣管內管插管方式為何? (A)經鼻盲目插管 (B)給與神經肌肉麻痺劑再經口插管 (C)清醒狀態下經軟式支氣管鏡導引插管 (D)給與適量鎮靜劑,擺好sniffing position,由喉頭鏡直視下插管
22.敗血症導致敗血性休克時,有關病患肺心臟血管生理變化之敘述,下列何者正確?①心跳增加 (tachycardia) ②脈壓增加(large pulse pressure) ③心輸出量增加(high cardiac output) ④身體系統血管阻力增加(increased systemic vascular resistance) (A)①②③④ (B)僅①②③ (C)僅①②④ (D)僅②③④
23.有關全身性發炎反應症候群(systemic inflammatory response syndrome,SIRS)之診斷標準, 至少須符合下列幾項,才能診斷為SIRS?①體溫>38℃或<36℃ ②心跳>90下/分鐘 ③呼吸 次數>20次/分鐘或PaCO2<32 mm Hg ④白血球過高(>12000 cells/μL)或過低(<4000 cells/μL)或>10% band forms白血球 (A)一項 (B)二項 (C)三項 (D)四項
24.加護病房患者,持續發燒,當醫師懷疑有導管敗血症(catheter sepsis),開始考慮給予抗生素 治療,醫師應考慮之致病菌為何? (A)Streptococci (B)Staphylococci (C)Pseudomonas (D)Enteric gram-negative bacilli
25.革蘭氏陰性菌導致敗血症,而引起之ARDS,其治療原則為: (A)類固醇 (B)利尿劑 (C)升壓劑 (D)吐氣末陽壓
26.關於敗血症(sepsis),下列敘述何者正確? (A)敗血症的診斷,是依臨床診斷,並非靠單一的實驗室檢查確診 (B)敗血症的病理生理變化包括凝血功能失常,所以抽血檢查常可發現大多數病人prothrombin time(PT),activated partial thromboplastic time(APTT)延長 (C)敗血症病人一定會發燒 (D)敗血症病人發生低體溫(hypothermia)預後較佳
27.下列何者不屬於colloids的輸液? (A)乳酸鹽輸液(lactated ringer solution) (B)白蛋白(albumin) (C)葡萄聚糖(dextran) (D)冷凍血漿(frozen plasma)
28.下列敘述何者錯誤? (A)急性顱內出血可引起急性神經功能障礙 (B)顱內腫瘤可引起顱內壓逐漸增加,患者通常可忍受且症狀不明顯,但患者可因咳嗽、打噴嚏等 小刺激而引起顱內壓輕微改變,卻使症狀急速惡化 (C)經天幕的脫出(transtentorial herniation)可因天幕上腫塊(supratentorial mass)而造成,並 引起異側瞳孔放大,對側半身輕癱(hemiparesis) (D)小腦向上herniation可壓迫腦導水管(aqueduct)而引起水腦症
29.多發性外傷(multiple trauma)引發多重器官衰竭的加護病房病人,下列敘述何者錯誤? (A)大約有60%左右最終死亡的原因是多重器官衰竭引起的 (B)發展出漸進式的器官衰竭是因為大量輸液治療所造成的 (C)抗生素的治療初期常可以得到效果,但病人漸漸的會失去反應 (D)近來有學者認為細菌感染是多重器官衰竭後產生的結果,而非由細菌感染產生多重器官衰竭
30.多重器官衰竭產生的肺部機械學上功能異常(pulmonary mechanical dysfunction),下列敘述何 者錯誤? (A)會產生動態擴張過度(dynamic hyperinflation)的現象 (B)動態擴張過度(dynamic hyperinflation)意味著功能性剩餘容積(functional residual capacity)會增加 (C)肺傷害也會產生內因性的吐氣末陽壓(intrinsic PEEP)現象 (D)由於內因性的吐氣末陽壓(intrinsic PEEP)會增加病人的呼吸功,所以呼吸器治療多重器官衰 竭時,使用PEEP是不合理的
31.診斷主動脈剝離,在過去是以主動脈血管攝影為”gold standard”,但是目前何種新診斷工具, 在做病患長期追蹤檢查時可取代之? (A)Chest CT scan (B)MRI (C)Transthoracic echocardiography (D)Transesophageal echocardiography
32.造成低血壓之原因中,下列何者屬於分布性原因(distributive cause)? (A)敗血症(sepsis) (B)燒傷(burn) (C)肺栓塞(pulmonary embolism) (D)心包膜填塞(pericardial tamponade)
33.慢性腎衰竭可能出現的現象,下列何者錯誤? (A)氫離子清除降低導致代謝性酸中毒 (B)鉀離子上升可因使用ACEI(angiotensin-converting enzyme inhibitors)而加重 (C)血液中磷上升,鈣下降,但不會影響副甲狀腺功能 (D)胃炎潰瘍出血之機會增加
34.下列何者不是細菌性心內膜炎常見的致病菌? (A)Staphylococcus aureus (B)Klebsiella spp. (C)Streptococcus pyogenes (D)Streptococcus pneumoniae
35.下列何者較不會影響B型鈉尿肽(B-type natriuretic peptide,BNP)對心臟衰竭診斷的準確度? (A)肝硬化 (B)二尖瓣疾病 (C)早期急性心臟衰竭 (D)肥胖
36.一低血壓病患,理學檢查呈皮膚冰冷,心搏微弱且加快,頸靜脈鼓脹,肺部囉音,最可能之診斷 為: (A)敗血症(sepsis) (B)出血(hemorrhage) (C)肺栓塞(pulmonary embolism) (D)心肌缺氧(myocardial ischemia)
37.少尿(oliguria)之處理原則,下列敘述何者錯誤? (A)排除泌尿系統阻塞為首要步驟 (B)給水分矯正溶液不足(hypovolemia)可能造成肺間質水腫 (C)給低劑量dopamine可改善預後,減少需血液透析之機會 (D)確定血管內容積足夠下,可給與利尿劑
38.造成缺血性腸子症候群(ischemic bowel syndrome)的原因中,下列何者最少見? (A)Arterial embolism (B)Arterial thrombosis (C)Venous thrombosis (D)Lymphatic occlusion
39.使用過度換氣(hyperventilation)使顱內壓(intracranial pressure)下降的敘述,下列何者錯 誤? (A)過度換氣(hyperventilation)可以使大腦血管收縮 (B)可以使大腦的血流及血量減少 (C)PaCO2 下降0.5 kPa可以減少15%的大腦血流(cerebral blood flow) (D)可以使用於腦壓正常的昏迷病患
40.心臟手術(cardiac surgery)時,呼吸器設定調整的考量,下列何者錯誤? (A)在低血容積(hypovolemia)的情況下,過高的PEEP會影響心臟的功能 (B)在低血容積(hypovolemia)的情況下,過高的平均氣道壓力(mean airway pressure)會影響 心臟的功能 (C)相對而言,肺氣腫(emphysema)病患,較不會產生經由呼吸器引起的血行動力學的變化 (D)相對而言,侷限性肺疾病(restrictive lung disease)病患,較不會產生經由呼吸器引起的血行 動力學的變化
41.術後若觀察到有低血氧(hypoxemia)與高碳酸血症(hypercapnia),下列何者是最不可能造成 的原因? (A)傷口嚴重疼痛 (B)止痛劑過量 (C)上呼吸道阻塞 (D)肺栓塞
42.肺移植(lung transplantation)的敘述,下列何者錯誤? (A)缺乏捐贈者(donor)是最主要的限制 (B)是末期肺疾病治療的一種選擇 (C)一般說來,心肺移植(heart-lung transplantation)的預後,優於單肺移植(single-lung transplantation) (D)一般說來,單肺移植(single-lung transplantation)的預後,優於雙肺移植(double-lung transplantation)
43.下列何者不是造成深部靜脈栓塞(deep vein thrombosis)的危險因素? (A)全身麻醉超過30分鐘 (B)肥胖 (C)男性 (D)惡性腫瘤
44.下列何者最不可能是開胸手術(thoracotomy)後的問題? (A)呼吸功能不佳與痰液積留 (B)肺塌陷 (C)支氣管或肺泡漏氣 (D)腫瘤轉移
45.下列何者不是高壓氧治療的適應症? (A)空氣栓塞 (B)壞死性肌膜炎 (C)一氧化碳中毒 (D)肺炎
46.使用高頻振動呼吸器常面臨的困難問題是使用後,呼吸道: (A)溫度降低 (B)壓力降低 (C)溼度上升 (D)氧氣濃度上升
47.使用高頻振盪呼吸器(high frequency oscillators ventilator)發生動脈血二氧化碳分壓太高,則 不應採以下何種步驟? (A)增加呼吸速率 (B)增加氣道壓差 (C)嘗試recruitment maneuver (D)照胸部X光
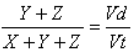
48.附圖是由end tidal CO
2
波形演變引伸的一種應用,當面積p=q時,此圖形所代表的意義,下列何 者正確?
(A)X=肺泡的無效腔
(B)Y=呼吸道的無效腔
(C)Z=肺泡通氣量
(D)
(無效腔與潮氣容積比)
49.下列那些指標是病人使用非侵襲性陽壓呼吸器後,改善的跡象?①呼吸速率變快 ②和呼吸器同 步 ③呼吸肌較不費力 ④血氧飽和濃度下降 (A)僅①② (B)僅②③ (C)僅②③④ (D)①②③④
50.林小姐因Guillain-Barré syndrome住入加護病房,醫師要求評估其病情變化情形時,應該執行: (A)測量單次的vital capacity (B)連續測量vital capacity (C)測量單次的吐氣尖峰流速 (D)連續測量吐氣尖峰流速
51.CPAP適用於下列何種狀況? (A)病人動脈二氧化碳分壓高 (B)可自主呼吸的病人 (C)低血容積(hypovolemia)的病人 (D)中樞型睡眠呼吸中止(central sleep apnea)
52.較新型呼吸器設定壓力支持性通氣(pressure support)有所謂吐氣驅動敏感度(expiratory trigger sensitivity,ETS),若ETS為5%,即代表吸氣流速降至最高吸氣流速5%時,壓力支持性 呼吸模式即進入吐氣週期。下列敘述何者錯誤? (A)急性肺傷害病人應選擇較低ETS,以降低呼吸作功 (B)慢性阻塞性肺疾病人應選擇較低ETS,以降低呼吸作功 (C)Servo 300型呼吸器壓力支持性呼吸模式的吐氣標準固定在5%最高吸氣流速,無法更動 (D)ETS愈高,呼吸器壓力支持性呼吸模式的吸氣時間愈短
53.在使用容積型控制通氣(volume-control mode)時,下列敘述何者錯誤? (A)流速愈高,最高吸氣壓力愈高 (B)吐氣末陽壓愈高,最高吸氣壓力愈高 (C)潮氣容積愈高,最高吸氣壓力愈高 (D)呼吸系統彈力愈小,最高吸氣壓力愈高
54.有關使用呼吸器病人發生內因性吐氣末陽壓(intrinsic PEEP)之成因,下列何者錯誤? (A)呼吸次數快較易有內因性吐氣末陽壓 (B)吸氣時間過長,吐氣時間過短易造成內因性吐氣末陽壓 (C)吐氣阻力高者較易有內因性吐氣末陽壓 (D)呼吸系統彈力高者較易有內因性吐氣末陽壓
55.下列呼吸型態中,何者出現於急診室的糖尿病合併酮酸血症(diabetic ketoacidosis)的病人?
56.下列有關呼吸功(work of breathing)之敘述,何者正確? (A)呼吸功=病患驅動呼吸器所需的壓力 (B)呼吸功=流量曲線與容積軸之間區域的面積 (C)呼吸功=壓力曲線與容積軸之間區域的面積 (D)呼吸功=壓力-時間積(pressure-time product)
57.病人接受陽壓換氣(positive pressure ventilation)之敘述,下列何者正確? (A)吸氣時經肺壓力(transpulmonary pressure)下降 (B)吐氣時經胸廓壓力(transthoracic pressure)下降 (C)吸氣時經呼吸系統壓力(transrespiratory pressure)下降 (D)吐氣時經氣道壓力(transairway pressure)上升
58.非侵襲性陽壓呼吸器(non-invasive positive pressure ventilator)用於COPD急性發作無法達到 何種目標? (A)降低死亡率 (B)降低吸入性肺炎發生率 (C)降低氣管內插管並使用呼吸器之機率 (D)減少住院天數
59.關於氧氣毒性(oxygen toxicity),下列敘述何者錯誤? (A)100%氧氣濃度可造成氣道及肺間質損傷 (B)對氧氣之耐受性,動物實驗結果與人類相似 (C)FiO
2
為0.4長期使用不一定安全 (D)應儘量避免FiO2超過0.8
60.嚴重低血容積(hypovolemia)的病人,下列那一項處置對血行動力學的副作用最大? (A)給予靜脈輸液 (B)PEEP 5 cm H2O (C)Inverse I:E ratio ventilation (D)縮短inspiratory time(Ti)
61.某位病患在接受呼吸器治療時突然發生agitation與呼吸器對抗(fighting),護士緊急找呼吸治療 人員理學檢查發現左側無呼吸聲,可能為下列何種原因?①左側氣胸 ②氣管內管滑至右側支氣 管 ③左側肺炎 ④急性肺動脈栓塞 (A)①② (B)①③ (C)②③ (D)③④
62.對於呼吸器相關肺炎的診斷,臨床上有clinical pulmonary infection score(CPIS),總分有12 分,一般認為大於幾分以上,病人就應考慮呼吸器相關肺炎的發生? (A)4分 (B)5分 (C)6分 (D)7分
63.診斷呼吸器相關肺炎,最準確的方式為何? (A)由臨床症狀,例如發燒、濃痰 (B)由胸部X光 (C)由痰液培養 (D)以支氣管鏡到病灶採檢體培養
64.下列那種疾病不會增加病人得到呼吸器相關肺炎的機會? (A)上消化道出血(upper gastrointestinal bleeding) (B)中樞神經疾病(central nervous system disease) (C)心臟疾病(cardiac disease) (D)呼吸道疾病(respiratory tract disease)
65.下列何者不屬於高頻呼吸器使用低容積策略(low volume strategy)的適應症? (A)高平均氣道壓 (B)空氣洩漏症(air leak syndrome) (C)肺組織間隙肺疾病(pulmonary interstitial emphysema) (D)心臟功能受損
66.使用呼吸器有可能造成急性腎臟功能異常之機轉,下列何者錯誤? (A)PEEP>6 cmH
2
O (B)過低的潮氣容積(<8mL/kg) (C)呼吸器使用後引發的全身性細胞激素增加 (D)腎臟表皮細胞凋亡(apoptosis)
67.某一冠心症病人,因為肺水腫(lung edema)使用陽壓通氣與吐氣末陽壓(PEEP),左心室射 出率(LVEF)為35%,則其可能的影響為何? (A)會造成左心室收縮力更為降低 (B)會造成左心室afterload增加,改善冠狀動脈血流 (C)可以降低左心室preload,增加stroke volume (D)PEEP會增加呼吸功,增加氧氣需求量與惡化心肌缺氧
68.下列那一項因素不會加重長時間呼吸器使用所造成的呼吸肌損傷? (A)神經肌肉阻斷劑 (B)控制型模式(controlled mechanical ventilation,CMV) (C)吐氣末陽壓(positive end expiratory pressure,PEEP) (D)低氧濃度(FiO
2
<40%)
69.呼吸衰竭病人接受PC mode治療時,在其它參數不變之情況下,若high pressure alarm值由35調 到45 cmH
2
O,下列何種狀況較不容易發生? (A)PaO
2
上升 (B)PaCO
2
下降 (C)Pneumothorax (D)High pressure alarm
70.灌食時採下列何種姿勢最容易造成吸入性肺炎? (A)直立 (B)平躺 (C)側臥 (D)半坐臥
71.下列關於肺炎球菌疫苗的敘述,何者正確? (A)免疫功能不全的成人,效果與免疫功能健全的人相當 (B)可以有效降低大於65歲老人的肺炎發生率 (C)65歲以上的老年人應每5年接種一次 (D)可以跟流行性感冒疫苗同時接種
72.呼吸器設定不當所產生的biotrauma,下列何者不是其產生發炎介質的細胞? (A)吞噬細胞(Pulmonary Macrophage ) (B)肺泡上皮細胞(Pulmonary epithelial cell ) (C)中性白血球(Neutrophil ) (D)嗜伊紅性白血球(Eosinophil )
73.呼吸器造成張力性氣胸,可使用空針插入來緊急處置,插入位置應選擇: (A)鎖骨中線正下方 (B)前胸第2至3肋間 (C)前胸第5至6肋間 (D)腋窩中線第7至8肋間
74.某一新生接受pressure ventilator,設定如下:IMV mode,速率40/min,inspiratory pressure 28 cm H2O,FiO
2
0.75,PEEP 5 cm H
2
O。ABG數據為:pH7.39、PaCO
2
42 mm Hg、PaO
2
45 mm Hg。則呼吸治療師要如何調整設定值? (A)調高呼吸速率 (B)調高FiO
2
到0.85 (C)調高PEEP到7 cm H
2
O (D)調高壓力到30 cm H
2
O
75.在第幾週胎兒羊水的phosphatidylglycerol的含量會超過全部phospholipid的1%以上? (A)30 (B)32 (C)34 (D)36
76.有關靜脈注射aminophylline以治療兒童急性氣喘發作,下列敘述何者正確? (A)需要loading dose:1mg/kg靜脈注射 (B)維持劑量是1mg/kg/hour (C)常見副作用是嘔吐、心搏過速、頭疼、失眠等。雖然會令病患非常不舒服,但是很少發生 (D)是氣喘急性發作時的首選用藥
77.有關初生兒胎便吸入症(meconium aspiration syndrome, MAS)的胸部放射線學影像呈現,下 列何者錯誤? (A)可有局部肺塌陷(atelectasis) (B)可有局部肺氣腫(emphysema) (C)可有氣外漏(air leak)現象 (D)不會有air-bronchogram現象
78.有關初生兒胎便吸入症(meconium aspiration syndrome, MAS)的敘述,下列何者錯誤? (A)只有少數的MAS寶寶需要接受機械呼吸器治療 (B)在早產兒較常見 (C)MAS會造成氣胸症 (D)只有少數羊水有胎便染色的寶寶會造成MAS
79.下列何種型態的腦性麻痺(cerebral palsy)最為嚴重? (A)Spastic diplegia (B)Spastic quadriplegia (C)Hemiplegia (D)Choreoathetoid
80.對一嬰兒需要呼吸器輔助呼吸,其呼吸系統的總順應性(compliance)0.003 L/cm H2O,阻力50 cm H
2
O/L/sec。則吸氣時間(I-time)應設定多少才能將潮氣容積完全送入? (A)0.1~0.15秒 (B)0.15~0.4秒 (C)0.45~0.6秒 (D)1.0~1.5秒
申論題 (0)
相關試卷
114年 - 114 專技高考_呼吸治療師:重症呼吸治療學#128961
114年 · #128961
113年 - 113 專技高考_呼吸治療師:重症呼吸治療學#121665
113年 · #121665
112年 - 112 專技高考_呼吸治療師:重症呼吸治療學#115902
112年 · #115902
111年 - 111 專技高考_呼吸治療師:重症呼吸治療學#109880
111年 · #109880
110年 - 110 專技高考_呼吸治療師:重症呼吸治療學#99933
110年 · #99933
109年 - 109-2 專技高考_呼吸治療師:重症呼吸治療學#89157
109年 · #89157
109年 - 109-1 專技高考_呼吸治療師:重症呼吸治療學#82776
109年 · #82776
108年 - 108-2 專技高考_呼吸治療師:重症呼吸治療學#78181
108年 · #78181
108年 - 108-1 專技高考_呼吸治療師:重症呼吸治療學#74588
108年 · #74588
107年 - 107-2 專技高考_呼吸治療師:重症呼吸治療學#70406
107年 · #70406