所屬科目:研究所、轉學考(插大)◆生物化學
10. Cholesterol is the most common steroid in animals and precursor for all other steroids in animals. The number of the carbon labeled "* "in the cholesterol showed below is
(A) 15 (B) 18 (C) 20 (D) 19 (E) 21.
12. What is the name of this molecule? (A) α-D-ribopyranose (B) α-L-ribopyranose (C) β-D-ribopyranose (D) β-L-ribopyranose (E) none of above.
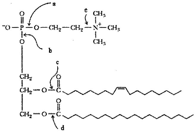
13. Which one is the cleavage site of Phospholipases D?
15. Which of the following supposedly has the greatest affinity to the proline racemase? (that catalyzes the following reaction)
A transition state analog:(A) L-Proline (B) D-Proline (C) The planar transition state (D) Pyrrole-2-carboxylate (E) Proton.
17. We have two enzymes maltose phosphorylase and sucrose phosphorylase catalyzing the following reactions: With the presence of unlabeled G-1-P and sucrose phosphorylase in an isotope-labeled 32P; solution, we found the "P" on G-1-P can also be isotope-labeled after some time. However, maltose phosphorylase cannot do the same. Which of following is true: (A) Sucrose phosphorylase catalyzes a reaction following double-displacement mechanism (B) Sucrose phosphorylase catalyzes a reaction requiring the formation of tertiary complexes (C) Maltose phosphorylase catalyzes a reaction following what is called "Ping-Pong mechanism" (D) Maltose phosphorylase catalyzes a reaction where enzyme is covalently modified during the catalysis though the modification occurs only transiently (E) NAD+-dependent dehydrogenases use a random single-displacement catalytic mechanism
18. About Near Attack Conformation (NAC), which of the following is NOT true? (A) Computer simulations find that the chance of NAC to form in the enzyme active site can be 300,000 times larger than that of NAC in the absence of the enzyme (B) the energy difference of E.NAC→E.X+ is smaller than that of NAC→X+ where X+ means the transition state (C) The enzymatic catalysis benefits from lowering the energy barrier of S→NAC (D) The transition state analog has a configuration closer to the transition state than the NAC (E) Both the catalyzed and uncatalyzed reactions require the formation of NAC
21. The following figure shows how Cyclic AMP-dependent protein kinase (PKA) is regulated. The catalytic subunits are controlled by: (A) allosteric control (B) zymogen control (C) covalent modification (D) intrasteric control (E) product inhibition.