所屬科目:專科學力鑑定◆專(一、二):物理
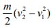
36. 質量為m 之物體,初速度為 v1 ,受定力F 作用t 秒後,速率變為 v2 ,則此力作功為何?
(A) Ft (B) (C) (D)
37. 地球半徑為R,地球之重力場為g,則離地面R處繞地球運行之衛星,其向心力加速度為何? (A)(B) (C) 2g (D) 4g
38. 在簡諧運動中,當位移為振幅之一半時,此時動能占總能量的幾分之幾? (A) (B) (C) (D)
40. 一質量 m,電荷 e 的電子以速度 v 繞著一半徑為 r 的帶電球體之表面運動,則此球體的 帶電量 Q 為何? (A) (B) (C) (D)
43. 乙生將一球體往上做拋射動作,此球被拋出時的速率為 vi ,與水平方向夾 θ 角度。當此球 被拋射後在水平距離R處落地,請問R等於? (A) (B) (C) (D)
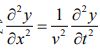
45. 下列哪一個是波動方程式的可能解? (A) (B) (C) (D)