所屬科目:專科學力鑑定◆專(一、二):物理
27. 有兩向量,= 50 ,= 40 ,其夾角為 60∘,若 則的大小為何? ( 四捨五入 ) (A) 10 (B) 30 (C) 46 (D) 78
28. 設質點作斜向拋射體運動,其上升過程加速度為 ,下降過程加速度為,則下列何者 正確? (A) (B) (C) a1 > a2 (D) a1 < a2
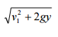
29. 將一個球以 v 1 的速率往上丟,其可達之最大高度為 y,今在同處以 v 2 的速率往上丟,其 可達之最大高度為y / 2,則v2為何? (A)(B)v (C)(D)
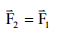
42. 兩個帶電質點Q1和Q2相距R,且Q2 =5 Q1,若 為Q2作用於Q1之力, 為Q1作用於Q2 之力,下列何者正確? (A)(B) (C) (D)
43. A 金屬球半徑為 B 金屬球半徑的 4 倍,A 球之帶電量為 Q,B 球不帶電,今將兩球接觸後 再分開,則A球的電荷面密度為B球的若干倍? (A) (B) (C) 1 (D) 4
46. 關於磁力 、電荷速度 、磁場 三者的方向,下列敘述何者正確? (A) 與 不一定垂直 (B)與不一定垂直 (C) 恆與 垂直 (D) 恆垂直 與