所屬科目:專科學力鑑定◆專(一、二):物理
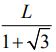
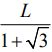
40. 如圖(三),兩個帶電質點被固定於空間中(即不能移動)且相距L,其帶電量分別為+Q及 + 3 Q,今放入一帶電量 + 2 Q 的質點於兩者之間,若 + 2 Q 質點要保持平衡,則放置位置需在 + Q 與 + 3 Q 兩者的連線上,距離 + Q 多遠的位置? (A) 右側處 (B) 左側處 (C) 右側處 (D) 左側處
42. 在光電效應中,一電磁輻射頻率為1015Hz,照射於鉀(Potassium)的表面,鉀的功函數為2.3 eV,則產生的光電子最大動能為?(普朗克常數h=6.63✕10-34joule-s) (A) 0.9 eV (B) 1.8 eV (C) 2.4 eV (D) 3.6 eV
45. 如圖 ( 四 ) ,一滑輪兩側掛有重物,質量分別為 2 kg 及 4 kg,並以細繩連結,假設原先 兩物體為靜止狀態,在釋放後於滑動的過程中繩子的張力是多少?( G 為重力加速度 )(A) 2G (B) 8G/ 3 (C) 4G (D) 16G/ 3
46. 一粒子帶有電量2✕10-10C以速度為10m /s朝右射入一帶有電場的區域,該電場強度為2 N /C方向向下,經過1 ms(毫秒)後離開該區域,則粒子朝上偏移多少距離? (粒子質量=4✕10-10 kg) (A)5✕10-7 m (B) 1✕10-7m (C)5✕10-3m (D)1✕10-1m
47. 將一電線纏繞10圈後形成一半徑為10 cm的環形線圈,並通入1A電流,則此一環形線圈 具有的磁偶極矩? (A) (B) (C) 5π A-m2 (D) 10π A-m2
48. 一帶電粒子以速度為10m/s進入一垂直磁場中將進行圓周運動,若粒子質量為 10-10 kg , 粒子帶電量為5✕10-10C,磁場強度為1Tesla,則圓周運動半徑為? (A) 1m (B) 2m (C) 5m (D) 10m