阿摩線上測驗
登入
首頁
>
捷運◆機件(械)原理
> 103年 - 103 臺北捷運:機械原理#24671
103年 - 103 臺北捷運:機械原理#24671
科目:
捷運◆機件(械)原理 |
年份:
103年 |
選擇題數:
50 |
申論題數:
0
試卷資訊
所屬科目:
捷運◆機件(械)原理
選擇題 (50)
1.下列有關壓力之敘述,何者有誤? (A)壓力為接觸力(B)SI單位系統中,壓力單位為MPa (C)在靜止流體中之水壓,各方向之大小皆相 同(D)一大氣M之壓力約可將水柱提升760公分。
2.有一同平面(xy平面)之平行作用力系,若其在平衡之狀態下,則有關總共可寫出之有效平衡方程 式,下列何者正確?
(A) 1個,選定方向之合力為0 (B)2個,x, y方向之合力分別為0 (C)2個,選定方向之合力為0,及 合力矩為0 (D)3個,x, y方向之合力分別爲0及合力矩為0。
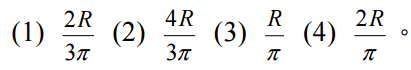
3.有一半徑為R之半圓形截面,其形心位置距離直線邊之高度為:
4.一物體置放於水平面上,其重量為100 N,物體與平面之靜摩擦係數為0.4、動摩擦係數為0.3, 當施加一水平推力為20 N時,其接觸面之摩擦力為多少? (A)20 N (B)30 N (C)40 N (D)100 N。
5.一軌道車廂若以每小時54公里(即速度為15 m/s)速度直行,當駕駛員踩死煞車,而輪子與鐵軌 間之摩擦係數為0.5,重力加速度爲10.0 m/s2,則車廂需多少距離分能煞停? (A) 15 m (B) 22.5 m (C) 75 m (D) 150 m。
6.有一汽車以固定速度V繞一半徑為R的道路行駛,則下列有關其加速度的敘述,何者正確?
(A)總加速度為0 (B)總加速度為
,方向由汽車之重心指向道路之曲率中心(C)總加速度為
,方向由道路之曲率中心與汽車之重心連線向外(D)汽車之角加速度為
7. 下列有關簡諧運動(simple harmonic motion)之敘述,何者錯誤? (A)為一種週期性運動(B)最大位移處,加速度為最大(C)速度與加速度都在相反方向(D)位移為零 處,加速度為最大值。
8.下列有關功與能之敘述,何者錯誤? (A)摩擦力不一定會作功,但若有作功一定作負功(B)保守力(conservative force)作功與路徑無關, 僅與起始與終點位置有關(C)彈簧變形過程中,彈簧力作負功(D)所有力作的功都會以内能 (internal energy)方式儲存於系統中。
9.花式溜冰者在表演時,控制身體自旋(spinning)速度時之動作,一與下列何者力學原理有關? (A)線動量(linear momentum)守恒(B)線衝量(linear impulse)守恒(C)角動量(angular momentum)守 恒(D)角衡量(angular impulse)守恒。
10.一桿件受軸向力P,其材料橫截面面積為A,則計算其承受之應力
,需符合下列何項假設? (A)拉力通過截面形心(B)截面必須是對稱形狀(C)材料應力必須是在比例限以下(D)P必須是拉力。
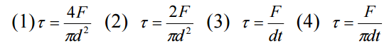
11.如圖所示之螺栓接頭,受力F=F’,螺栓直徑為d,板厚為t,則螺栓所受之剪應力r為多少?
12.如圖所示之懸臂樑,試求樑内之最大彎曲力矩(bending moment) ?
13.如圖之簡支樑,L=2 m、a=0.5m、截面為100mmx100mm之正方形,p=40kn,材料之彎曲強度為240mpa,則其設計之安全係數為多少? (a)1.2 (b)1.5 (c)2.0 (d)3.0。
(A)1.2 (B) 1.5(C)2.0 (D)3.0
14.下列有關靜定(statically determinate)與靜不定(statically indeterminate)樑之敘述,何者有誤? (A)凡是無法以靜力平衡方程式求出所有反力(reactions)之樑的問題,皆為靜不定樑問題 (B)靜不定 樑問題之反力求解與使用材料之性質,如楊氏係數等有關 (C)由靜定樑再加入額外支撐所形成之 靜不定問題,其變形量會減小 (D)靜不定樑之所有支撐反力皆無法以平衡方程式求出。
15.軌道車輛所行駛之軌道一般都是由「工」字型截面之樑所構成,其主要考量為何? (A)增加接觸面積以增加接觸摩擦,避免輪子打滑(B)增加中性軸附近之間隙,以避免轉彎時軌道 與輪子間之干涉(C)降低材料之使用量,以減少熱漲冷縮所造成之影響(D)相同材料使用量下, 提高截面彎曲慣性矩,增加彎曲之剛性與強度。
16.若想改變一個結構在承受負載時所產生的應力,以下哪個方法不可行? (A)改變材料的材質(B)改變結構幾何尺寸(C)減輕負載(D)改變結構邊界條件。
17.M12 x 1.75 ISO 4.8 Hex head bolt,關於此一螺絲哪一個描述不對? (A)公制螺絲(B)材料等級為4.8 (C)螺絲内徑12 mm (D)螺紋間距1.75 mm。
18.螺絲鎖付裝置如下圖所示,如果螺帽多鎖緊一圈,該螺絲内部承受何種應力為何?
(A)壓應力(B)拉與壓應力(C)拉應力(D)熱應力。
19.下圖為金屬圓棒的拉伸試驗圖,請問該圓棒在負載超過哪一點時會發生永久變形?
(A)y 點(B)i點(C) u 點(D)f點。
20.以下哪種配合選擇屬於過渡配合? (A)H7&u6 (B)H11&C11 (C)H8&F7 (D)H7&k6。
21.下列何者不是材料靜力破壞理論? (A)Maximum normal stress theory (B)Maximum shear stress theory (C)Maximum distortion energy theory (D)Modified Goodman theory。
22.下圖的彈簧與負載裝置中,k
1
彈簧所承受的力量F
1
.多少?
(A)F
1
=K
1
/(K
1
+K
2
)xW (B) F
1
=K
2
/(K
1
+K
2
)xW (C) F
1
=1/(K
1
+K
2
)xW (D)以上皆非。
23.兩個互相嚙合(齒合)傳動的齒輪,下列何者不需相同? (A)模數(B)節徑(C)周節(D)壓力角。
24.機械設計或負載應力分析時下列何種情況不需考慮應力集中問題? (A)脆性材料承受衝擊負載(B)延性材料承受週期性負載(C)延性材料承受靜態負載(D)脆性材料 承受靜態貞裁。
25.下圖所示,有一轉輪直徑250腿之煞車裝置,其摩擦係數為0.3,轉軸之扭矩為75000 N-腿’ 表該輪作逆時針方向旋轉時,須加多少力P於右端才可將動態輪完全制止不動。
(A)232 N (B)285 N (C)327 N (D)30 N。
26.以下關於鏈條傳動的描述,何者有誤? (A)因潮濕或高溫影響傳動的效率不大。 (B)多使用於軸間距離與傳動功率較大的場合。 (C)使用時多使緊邊在下方,鬆邊在上方。 (D)滾子鏈與塊型鏈傳動速率大多於10 m/s以下。
27.一台緩上坡中的列車,如果油門開啟狀態不變,若想提升行駛速度,該做以下何種動作? (A)切換為低速檔(B)切換為高速檔(C)增加負重(D)以上方法皆不可行。
28.何者並非機械設計中的疲勞修正因數? (A)溫度因數(B)機率因數(C)表面因數(D)重量因數。
29.下列金屬的比重排列順序何者正確? (A)鋼 >鉛> 黃銅 >鋁(B)鉛 >鋼> 黃銅 >鋁(C)黃銅 >鉛>鋼>鋁(D)鉛>黃銅 >鋼>鋁。
30.在美國齒輪製造者協會(AGMA)所提出的齒輪抗彎能力設計計算式中,以下哪一種搭配其應用因 數值大約等於2.00? (A)驅動機械中度衝擊與從動機械輕衝擊搭配(B)驅動機械中度衝擊與從動機械中等衝擊搭配(C) 驅動機械中度衝擊與從動機械重衝擊搭配(D))驅動機械中度衝擊與從動機械均句衝擊搭配。
31.若一機械之機械效率82%,今欲將一 100 kg之物體以機器升高40 m,需作功若干kg • m? (A)5000 (B)4878 (C)4706 (D)4000。
32.一螺栓標註M16x1.5x50-1 ’式中16表示 (A)螺栓矣16 mm (B)螺栓公稱i徑16 mm (C)螺紋長度16 mm(D)螺距16 mm。
33.何種機件能儲存能量? (A)齒輪(B)凸輪(C)鍵(D))彈簧。
34.同時具有軸向與徑向負荷時,宜選用軸承為 (A)徑向軸承(B)止推軸承(C)錐形滾子軸承(D)單列滾子軸承。
35.如下圖之螺旋起重機,已知導程為12公釐,R=120公分,假設在把手上加力50公斤,若無摩擦 損失,試問能舉起重物W為若干公斤?
(A)31400 (B)3140 (C)37680 (D)3768。
36.如下圖拉伸彈箬並聯與串聯合併使用,若K
1
=40kg/cm,K
2
=30kg/cm,K
3
=30kg/cm,K
4
=25kg/cm ’ K
5
=25kg/cm,K
6
=25kg/cm,當承受100kg負荷時,求伸長量多少?
(A)10cm (B)5.5cm (C)0.57cm (D)3.5cm。
37.一對三階相等塔輪,如下圖所示。主動軸之N=100 rpm,從動軸之最低轉速n
5=
50 rpm,試求從 動軸n
1
之轉速爲多少?
(A)100 rpm (B)150 rpm (C)200 rpm (D)250 rpm。
38.一正齒輪的節圓直徑為200mm,齒數為50,試求其模數為若干? (A)4 mm/t (B)0.25 mm/t (C)1000 mm/t (D)250 mm/t。
39.如下圖所示為單式齒輪系,若T
A
=60齒,T
B
=50齒,T
C
=30齒,A輪轉速為200rpm,求C輪轉速 為若干? (A)140rpm (B)200rpm (C)300rpm (D)400rpm。
40.一周轉輪系如下圖所示,A為80齒,B為40齒,旋臂m順時針轉速3 rpm,輪A之轉速為逆時 針2 rpm,求輪B之轉速為?
(A)7 rpm逆時針(B)13 rpm順時針(C)13 rpm逆時針(D)7 rpm 順時針。
41.如下圖所示之曲柄單滑塊機構,若AB的長度為16 cm,BC的長度為60cm,則滑塊C之衝程為
(A)16 cm (B)60 cm (C) 32 cm (D)120 cm。
42.如下圖所示之液壓系統,當施力60kgf於桿子頂端時,活塞B可傳達的力量FB為若干?
(A)600kgf (B) 300kgf(C) 1200kgf(D)900kgf
43.如下圖所示之複式輪系,A、B為正齒輪,C右旋雙線蜗桿,D為蜗輪,E、F為斜齒輪,若A輪 轉遠為1600rpm,試表齒輪G每分鐘的轉速?
(A)1600 rpm (B)80 rpm (C)20 rpm (D)40 rpm。
44.有一油壓管路内徑為20mm,每分鐘流過的液壓油為15072 cm3,若不計管内的摩擦損失,求管内 的液壓油流速為多少cm/sec? (A)754 cm/sec (B)38 cm/sec (C)40 cm/sec (D)80 cm/sec。
45.徑節為5,齒數為44之14又1/2漸開線齒輪,其外徑為 (A)2.45 吋(B)3.48 吋(C)6.65 吋 (D)9.20 吋。
46.如下圖所示之塊狀制動器,若鼓輪之扭矩為1800 N-cm,鼓輪直徑為36cm,摩擦係數為0.2,試 求當鼓輪順時針旋轉時所需之作用力P為若干?
(A)96 N (B)104 N (C)500 N (D)100 N。
重新載圖
47.如下圖所示之油壓機構,活塞直徑為80公厘,手輪直徑為100公厘,螺懸導程為10公厘,假設 摩擦損失為60%,今施加2kN之力於手輪上,則活塞承受多少MPa之塵力?
(A)25 MPa (B)20 MPa (C)10 MPa (D)5 MPa。
48.如下圖所示之輪系,A、B為齒輪,齒數T
A
=100齒,T
B
=50齒,C、D為皮帶輪,直徑D
C
=60mm,D
D
=30mm,若A輪為主動,每分鐘逆時針方向200轉,求D輪之轉速反輪而。
(A)逆時針方向800轉(B)順時針方向800轉(C)逆時針方 向400轉(D)順時針方向400轉。
重新載圖
49.如下圖所示之機構,原動件(小齒輪)等速旋轉,則從動件運動方式可為
(A)不會動(B)往復運動 (C)直線運動後停止不動 (D)上下搖擺運動
50.如下圖之滑車裝置,若機械效率為70%,欲升起2800N的物體,則施力F為
(A)500 N (B)700 N (C)1000 N (D)1200 N。
申論題 (0)
相關試卷
114年 - 114 臺中捷運_新進人員甄試試題_B02 技術員(機械類):機件原理#137866
114年 · #137866
114年 - 114 臺北捷運公司_新進技術專員甄試試題_機械維修類:機件原理#129001
114年 · #129001
113年 - 113 臺北捷運公司_新進技術專員甄試試題_機械維修類:機件原理#121810
113年 · #121810
112年 - 112 臺中捷運股份有限公司_新進人員甄試試題_技術員(機械類):機件原理#125802
112年 · #125802
112年 - 112 臺北捷運公司_新進技術員甄試試題_機械維修類、機械維修高空類:機件原理#113626
112年 · #113626
111年 - 111 臺北捷運公司_新進技術員(機械類) 甄試試題:機件原理#113303
111年 · #113303
110年 - 110 臺中捷運股份有限公司_人員招募公開招考甄試試題_技術員(機械類)︰機件原理#98004
110年 · #98004
109年 - 109 臺北捷運:機件原理#84079
109年 · #84079
108年 - 10811 臺中捷運:機械原理(機械工程概論、工程材料)#81704
108年 · #81704
108年 - 10811 臺中捷運人員招募公開招考甄試試題_B04技術員(機械類):機件原理#81702
108年 · #81702