所屬科目:中山◆電機◆工程數學乙
(c) What is the condition on (A) so that I + aA is nonsingular? (2%)
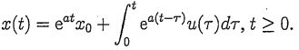
(d) Suppose I+aA is nonsingular, thus, for any nonzero scalar a, Ωa := is a well-defined matrix. Then we know from knowledge of eigensystem of a square matrix that, corresponding to any . What is the mathematical relation betweenλand μ? (3%)
(e) If Ω1 , that is, is an orthogonal matrix, then what mathematical relation between A and AT can be derived? (5%)
(f) If Ωa is an idempotent matrix, then what are all possible values of det A ? (5%)
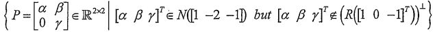
(b) Now denote the set S := in terms ofsolution of (a). Write out the set S and discuss if the closure property of vector addition holds for set S, i.e. whether the implication "" holds for any P1 and P2. (1+5%)
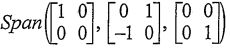
(c) Consider the inner product space V = (,〈●,●〉), where 〈A,B〉:= tr(ATB) for A and B in . Describe S⊥ as the span of a set of orthonormal vectors in . (7%)
(2) Now lot T = be a subspace of V and let P be any vector of S. What is the distance of P to T? (7%)
n is a positive integer
(b)(10%) Suppose the answer you obtained in Part (a) is jnπ . Use Part (a) to evaluate
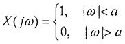
Problem 5 (15%) Define the Fourier transform of a signal f(V) as , and its inverse Fourier transform is. It is already known that the Fourier transform of signal x(t)=sin(at)/(πt) is and ). Compute the Fourier transform of the signal