所屬科目:中山◆電機◆工程數學乙
2.微分方程式造有三個平衡點。 (A)是(B)否
3.微分方程式的解,不管初值為何,都會收斂到0。 (A)是(B)否
4.微分方程式的解,在初值y(0)<0的情況下,滿足。 (A)是(B)否
5.微分方程式型的解,在|u(t)|之值有上界的情況下,有可能會發散。 (A)是(B)否
6.微分方程式的穩態解,在ω=1時有最大振幅。 (A)是(B)否
8. 令函數y(t)的拉普拉斯轉换為Y(s)·則函數的拉普拉斯轉换為s2Y(s)。 (A)是(B)否
9. 令函數y(t)的拉普拉斯轉换為Y(s)·則函數的拉普拉斯轉换為Y(s+1)。 (A)是(B)否
10.函數,t∈[0,∞]的傅立葉轉换(Fourier transform]為 (A)是(B)否
下面11-15題為單選題, 考慮微分方程式式,並回答以下第11至15題。
12.假設u(t)≡0,。將前述方程式就=(0,0)線性化後之線性方程式,滿足以下哪個敘述? (A)若b=0,則任何初值對應的解皆會收斂到。 (B)若b=0,則有些初值對應的解皆會發散。 (C)若b=1,則任何初值對應的解皆會收斂到0。 (D)若b=-1,則有些初值對應的解皆會收斂到0。
13.假設u(t)≡0,將前述方程式就=(0,π)線性化後之線性方程式,滿足以下哪個敘述? (A)若b=0,則有些初值對應的解皆會收斂到. (B)若b=0,則任何初值對應的解皆會收斂到. (C)若b=1,則任何初值對應的解皆會收斂到。 (D)若b=1,則任何初值對應的解皆會發。
14.考慮將前述方程式就=(0,0)線性化後之線性方程式。假設b=0,且該方程式之输入項(forcing term)為單位步階函数。下列敘述何者為正確? (A)該線性方程式的解會收斂到1。 (B)如該線性方程式的初值為(1,0),則方程式的解為sin t。 (C)該線性方程式的解會發斂 (D)該線性方程式的解會不斷震盪。
15.考虑將前述方程式就=(0,0)線性化後之線性方程式。假設b=2,且該方程式之輸入項(forcing term)為sint。下列敘述何者為正確? (A)該線性方程式的解會收斂到cost。 (B)該線性方程式的解收斂到sin t。 (C)如該線性方程式的初值為(0,0),則方程式的解為sin t。 (D)如該線性方程式的初值為(0,1),則方程式的解為cos t。
17.考慮微分方程組。下列敘述何者正確? (A)若(α,β)=(0,0),則有些「非零初值」對應之解會發散。(B)若(α,β)=(0,0)則任何非零初值」對應之解都不會發散。(C)若(α,β)=(1,1)·則方程式之解是頻率為之線性組合。(D)若(α,β)=(1,1),則方程式之解是頻率為sin√2t與cos√2t之線性組合。(E)若(α,β)=(-2,-2),則方程式之解是頻率為1與√3之旋波的線性組合。
18. Consider the linear equation Ax = b, where A = [a1, a2, a3, a4 ] ∈ and a1, a2, a3, a4 are column vectors of A. Suppose a1 + a2 + a3 + a4 = b. Which of the following statements are true? (A) The linear equation has exactly one solution. (B) The linear equation has infinitely many solutions. (C) No conclusion can be drawn about the number of solutions to the linear equation. (D) The vectors a1, a2, a3, a4 are lincarly dependent. (E) rank([A,b]) =
19. Consider the linear equation Ax = b with A ∈ . Which of the following statements are true?(A) If rank = m, then there exists at least one solution.(B) Ifrank = n, then there exists exactly one solution.(C) Ifrank = n, then the column vectors of A are linearly independent.(D) Ifn > m, then there exists at least one solution.(E) Ifm >n, then there exists at most one solution.
20. Consider the linear mapping L: V → W. Let be the zero vectors in V and W, respectively.Which of the following statements are true?(A) The condition L(V1) = L(V2) impliesV1 = V2.(B) For any W ∈ W, there exists V ∈ V such that L(V) = W.(C) If L is one-to-one, then L(v) = 0w implies v = Ov.(D) If V1,V2,..., are linearly independent, L(V1), L(V2),.., are also linearly independent.(E) The condition C1V1+C2V2+..+=implies c1L(V1)+c2L(V2)⋯+=.
21. Given vectors x, y,z in and matrices A, B, C in . Which of the following statements aretrue?(A) (B) (C) (A+B)(A-B) = A2 - B2(D) If AC = BC and C is not the zero matrix, then A = B.(E) If AB equals the zero matrix, then BA also equals the zero matrix.
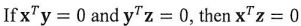
22.Let A ∈ , denote the column space of A, denote the null space of A,and dim(S) denote the dimension of a subspace S. Which of the following statements are true?(A) For any x ∈ , there exists u ∈ and v ∈ such that x = u + v.(B) Suppose u ∈ and v ∈ . Then = 0.(C) dim+ dim =n(D) For any y ∈ , there exists x ∈ such that y = .(E) Ify ∈ , then y is the zero vector in .
23. Let A ∈ and x ∈ . Which of the following statements are true?(A) If A is singular, then O is an eigenvalue of A.(B) A and share the same eigenvalues and eigenvectors.(C) If A is diagonalizable, then A has n distinct eigenvalues.(D) Suppose that A is nonsingular. The condition Ax = Ix implies .(E) Supposc that all the eigenvalues of A are real and positive. Then we have > 0.
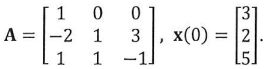
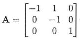
25. Suppose x(k) = where k is an integer ranging from I to +oo, andCompute x(100).