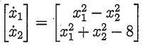
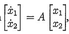
10. Let U, V, W be vector spaces and T: U →rightarrow V, S: V →rightarrow W be linear transformations. Also denote the set of all linear transformations from V to W by
(V,W) (e.g. S 
(V,W)). Which one of the following statements is false? (A) The set (
(V,W), +, ‧), where (α ‧S1 + β ‧ S2)(v) =α ‧S1(v) +β S2(v) for any v
V,
(V,W), and α ‧ β
R, is also a vector space with dim\mathcal
(V,W) = dimV + dimW.
(B) The mapping ST(.) defined as ST(u) := S(T(u)) for any u \in U is also a linear transformation from U to W.
(C) If both S and T are one-to-one, then their combination ST(.) is also one-to-one.
(D) If S: V →rightarrow W is invertible, then the mapping
from W to V is also a linear transformation. (E) Suppose that the combination ST(.) is onto. Then at least one of S and T is onto.