所屬科目:國營事業◆1.計算機概論 2.電子學
18. 如右圖MOSFET電路, V 2=2 V,則 (W /L) M1 ∶ (W /L)M2 ∶ (W /L)M3為何?(忽略通道長度調變效應) (A) 2:1:9 (C) 2:1:4 (B) 1:1:9 (D) 1:1:2
19. 右圖使用齊納二極體(Zener Diode)製作穩壓電路,齊納二極體在20 mA 時,VZ= 12 V、 rZ= 10 Ω,VS在20 V和25 V之間變動,I 在0 mA和30 mA 之間變動,且,下列敘述何者正確? (A) R值越小,穩壓越好 (B) R最大值為245 Ω (C) R最小值為155 Ω (D)若R=160 Ω,IL 最大變化可導致VO 有0.287 V之變化
20. 有一放大器電路其轉移函數為 ,此為何種濾波器? (A)帶通濾波器 (B)帶拒濾波器 (C)低通濾波器 (D)高通濾波器
22. 一增強型NMOS電晶體,V 3.5 V時,V 為多少? (A) 2.5 V (B) 2 V (C) 3 V (D) 2.3 V
23. 如右圖,A、B、C為邏輯輸入,Y輸出為何? (A) (B) (C) (D)
28. 在區域網路中某伺服器Windows Server 2012的IP為「192.168.1.1」,若網管人員欲在自己桌上 的Windows 7電腦之命令提示字元視窗中,查詢該伺服器的電腦名稱,請問須使用何種指令? (A) netstat -d 192.168.1.1(B) ipconfig/all
(C) nbtstat -A 192.168.1.1
(D) ping 192.168.1.1
41. 如右圖電晶體在25℃時,V =0.7 V,β=50,V 對其溫度的變化為 -2 mV⁄℃,在125℃時,β=200,忽略爾利效應(Early Effect),試 算125℃時 V 直流偏壓為多少? (A) 4.17 V (C) 1.08 V (B) 0.83 V (D) 3.92 V
43. 關於右圖電路,R R R R 、R 2R 、二極體導通電壓為0.7 V,假設A為理想運 算放大器,下列何者有誤? (A) V 1 V、V 2 V (B)二極體導通條件為V 2.8 V (C) V 4 V、V 6.73 V (D) V 3 V、 V 5.4 V
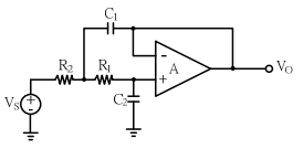
45. 設計一個低通濾波器如右圖,頻寬為10 kHz,R 10 kΩ 、C C 1 nF,A為理想運算放 大器,R 應為多少? (A) 1 MΩ (B) 50.66 kΩ (C) 25.33 kΩ (D) 20.64 kΩ
46. 右圖為一串串(Series-Series)回授電路,忽略爾利效應(Early Effect),下列 何者正確? (A) R 5 kΩ (C) A 0.12 (B) β = 0.01 (D) A = 0.038
49. 如右圖,A1、A2為理想運算放大器,輸出正飽和電壓為VDD, 負飽和電壓為 0 V,其中VDD = 10 V、R=1 kΩ,發光二極體 (LED)導通電壓為2 V,試問當VS = 6 V時,發光二極體L1、L2 狀態為何? (A) L1滅、L2滅 (B) L1滅、L2亮 (C) L1亮、L2滅 (D) L1亮、L2亮
50. 右圖為一電流轉換器電路,所有電晶體β =100,假設二極體與電晶體飽和電流 I 相同, V 25 mV、n 1、V 1 V、R 1 kΩ,I 為何? (A) 1.1 mA (B) 1 mA (C) 0.99 mA (D) 0.98 mA