阿摩線上測驗
登入
首頁
>
1.電路學 2.電子學
> 105年 - 105年關務特考三等電子學與電路學#50082
105年 - 105年關務特考三等電子學與電路學#50082
科目:
1.電路學 2.電子學 |
年份:
105年 |
選擇題數:
0 |
申論題數:
5
試卷資訊
所屬科目:
1.電路學 2.電子學
選擇題 (0)
申論題 (5)
【已刪除】一、試以對稱觀念求解下列二電路(圖一及圖二)之等效電阻。(20 分)
【已刪除】二、試寫出圖三之網目電流方程式及圖四之節點電壓方程式。(20 分)
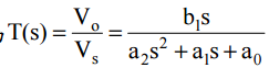
【已刪除】三、試以運算放大器(Operational Amplifier)為主動元件的三個基本電路(如圖五)實現型 式為
之二階轉移函數,其中 a
0
、a
1
、a
2
及 b
1
為實常數。(20 分)
【已刪除】四、請以迴授觀念求解圖六電路之輸出電壓 V
o
與輸入電壓 V
s
之關係。(20 分)
【已刪除】五、請針對圖七之電晶體電路進行直流分析(DC Analysis)。(20 分)
相關試卷
114年 - 114 司法、調查特種考試_三等_檢察事務官電子資訊組、電子科學組:電子學與電路學#129595
114年 · #129595
114年 - 114 關務特種考試_三等_電機工程(選試英文):電子學與電路學#126652
114年 · #126652
113年 - 113 司法、調查特種考試_三等_檢察事務官電子資訊組、電子科學組:電子學與電路學#122097
113年 · #122097
113年 - 113 關務特種考試_三等_電機工程(選試英文):電子學與電路學#119480
113年 · #119480
112年 - 112 台灣電力公司_大學及研究所獎學金甄選試題_電驛:電路學及電子學#129470
112年 · #129470
112年 - 112 司法、調查特種考試_三等_檢察事務官電子資訊組、電子科學組:電子學與電路學#116222
112年 · #116222
112年 - 112 關務特種考試_三等_電機工程:電子學與電路學#113915
112年 · #113915
111年 - 111 司法、調查特種考試_三等_檢察事務官電子資訊組、電子科學組:電子學與電路學#110322
111年 · #110322
111年 - 111 關務特種考試_三等_電機工程:電子學與電路學#107561
111年 · #107561
110年 - 110 中華郵政股份有限公司_職階人員甄試試題_營運職/電機工程:電路學與電子學#106541
110年 · #106541