所屬科目:研究所、轉學考(插大)-微積分
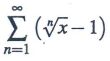
3. (10 points): Compute
4. (10 points): For what positive x does the following series converge?
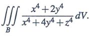
5.(10 points): Let B=.Evaluate the integral
6. (10 points): The n-th derivative ofwhere Pn(x) is a polynomial. Pn(x) Find Pn(1) for all n ≥0.
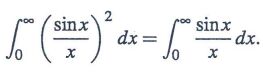
(a) Prove that
(b) Evaluate the improper integral
8. (10 points): For each continuous function f: [0,1] →R, let I(f)=dx. Find the maximum value of I(f) over all such functions f.
9. (10 points): Evaluate