阿摩線上測驗
登入
首頁
>
研究所、轉學考(插大)-微積分
>
105年 - 105 台灣聯合大學系統(清華、交通、陽明、中央四校聯招)學士班轉學生考試_A3、A4、A6:微積分#112759
> 申論題
題組內容
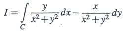
1. (10 points): Let
where C is a circle oriented counterclockwise.
(b) Evaluate I if C is given by x
2
+ y
2
= 1.
相關申論題
(a) Evaluate I if C is given by (x - 2016)2 + (y- 2016)2 = 1.
#483021
2. (10 points): Find the maximum and minimum values of the function f(x,y,z) =x2 -y2 on the surface x2+2y2+3z2=1.
#483023
3. (10 points): Compute
#483024
4. (10 points): For what positive x does the following series converge?
#483025
5.(10 points): Let B=.Evaluate the integral
#483026
6. (10 points): The n-th derivative ofwhere Pn(x) is a polynomial. Pn(x) Find Pn(1) for all n ≥0.
#483027
(a) Prove that
#483028
(b) Evaluate the improper integral
#483029
8. (10 points): For each continuous function f: [0,1] →R, let I(f)=dx. Find the maximum value of I(f) over all such functions f.
#483030
9. (10 points): Evaluate
#483031
相關試卷
114年 - 114 臺灣綜合大學系統_學士班轉學生考試試題:微積分A#137897
114年 · #137897
114年 - 114 臺灣綜合大學系統_學士班轉學生考試試題:微積分B#137819
114年 · #137819
114年 - 114 台灣聯合大學系統_學士班轉學生考試試題:微積分#137762
114年 · #137762
114年 - 114 台灣聯合大學系統_學士班轉學生考試試題:微積分#137761
114年 · #137761
114年 - 114 國立臺灣大學_轉學生招生考試_物理學系/土木工程學系/生物環境系統工程學系/生物機電工程學系:微積分(B)#137745
114年 · #137745
114年 - 114 國立臺灣大學_轉學生招生考試_數學系:微積分(A)#137744
114年 · #137744
113年 - 113 國立嘉義大學_轉學生招生考試試題_(全校):微積分#122986
113年 · #122986
112年 - 112 國立臺灣大學_碩士班招生考試題:微積分(D)#130254
112年 · #130254
112年 - 112 國立陽明交通大學_碩士班入學招生試題_統計學研究所﹕微積分與線性代數#130252
112年 · #130252
112年 - 112 國立嘉義大學_轉學生招生考試試題:微積分#123297
112年 · #123297