阿摩線上測驗
登入
首頁
>
初等/五等/佐級◆電子學大意
> 105年 - 105 鐵路特種考試_佐級_電子工程:電子學大意#52635
105年 - 105 鐵路特種考試_佐級_電子工程:電子學大意#52635
科目:
初等/五等/佐級◆電子學大意 |
年份:
105年 |
選擇題數:
40 |
申論題數:
0
試卷資訊
所屬科目:
初等/五等/佐級◆電子學大意
選擇題 (40)
1某一內部補償的運算放大器,其直流開迴路增益為 100 dB,單一增益頻寬(Unity-gain Bandwidth) 為 2 MHz,求頻率在 2 kHz 時的開迴路增益? (A)10 dB (B)20 dB (C)30 dB (D)60 dB
2 一運算放大器其增益為3×10
5
,直流供應電壓為±12 V,最大輸出電壓變化範圍為±11.5 V,當其正輸 入端與負輸入端電壓分別為 50 μV 和 90 μV,其輸出電壓為何? (A)11.5 V (B)-11.5 V (C)12 V (D)-12 V
3 某單一增益運算放大器的電壓轉換率(Slew rate)為 0.628 V/μs,當輸入電壓振幅為 5 V 之正弦波時, 其最大不失真的輸入頻率為何? (A)1 kHz (B)2 kHz (C)10 kHz (D)20 kHz
4 圖中邏輯電路的輸出信號 Y 為何?
(A) Y = A + B + C + D (B)Y = ABCD (C) Y = (A + B)(C+ D) (D) Y =
5 若雙極性接面電晶體(BJT)工作在主動區(Active Region)的電流放大率為 β,下列何項敘述正確? (A)β 定義為 IB/IC (B)相同電路之下,β 較小的電晶體較易飽和 (C)β 值大小與溫度無關 (D)工作在飽和區(Saturation Region)的電流放大率小於 β
6 關於 P-N 接面二極體崩潰電壓之敘述,下列何者錯誤? (A)逆向崩潰電壓較順向導通電壓為大 (B)PN 區域雜質濃度越高,若發生稽納式崩潰(Zener breakdown)時,崩潰電壓越大 (C)溫度越高,若發生雪崩式崩潰(Avalanche breakdown)時,崩潰電壓越大 (D)雪崩式崩潰(Avalanche breakdown)之崩潰電壓較稽納式崩潰(Zener breakdown)之崩潰電壓為大
7 如圖所示之電路為何種濾波器? (A)低通 (B)帶通 (C)高通 (D)全通
8 將砷(As)元素經熱擴散摻進純矽晶體中且取代矽原子,此矽晶體將成為何種摻雜型式半導體? (A)正(P)型 (B)負(N)型 (C)以上皆有可能 (D)無法確定
9 圖中理想二極體電路輸入正弦波訊號的峯值為 V
m
,請問在那兩個端點間可得到 4 V
m
的輸出?
(A)A、B 端點 (B)A、C 端點 (C)F、E 端點 (D)F、D 端點
10 如圖所示,跨於二極體的電壓 V
D
應為:
(A)0.7 V (B)-5 V (C)-7 V (D)-10 V
11 如圖所示之電路,二極體為理想。其電源電壓 v
s
為一交流弦波,大小為 110 Vrms,頻率為 60 Hz, R=25 Ω,則 i
o
之均方根值(rms)為何?
(A)2.11 A (B)3.11 A (C)4.11 A (D)5.11 A
12 圖中為一由兩個 5.7 V 稽納(Zener)二極體所構成的截波電路,其順偏時的電壓為 0.7 V,請問輸入 波形被截波的電壓為何?
(A)±1.4 V (B)±5 V (C)±6.4 V (D)±11.4 V
13 圖示整流電路,輸入 vI為弦波,若二極體 D 的導通角度變大,下列敘述何者為其可能原因? (A)vI的週期變大 (B)vI的峰值電壓變大 (C)電容值 C 變大 (D)電阻值 R 變大
14 如圖電路,稽納二極體的 V
z
=5 V,電源 V=10 V,R=2 kΩ,則 R
L
的最小值 R
Lmin
約為多大?
(A)1 kΩ (B)2 kΩ (C)3 kΩ (D)4 kΩ
15 如圖電路,設二極體為理想二極體。I=1 mA,E=10 V,R=10 kΩ,則流經二極體之電流 I
D
為多大?
(A)0 mA (B)0.5 mA (C)1 mA (D)2 mA
16 如圖電路為一共源放大器的簡圖,若電晶體之 gm=0.5 mA/V,V
A
=∞,R
D
=5 kΩ,則此放大器的電壓 增益 |Av|為: (A)0 (B)2 V/V (C)2.5 V/V (D)∞
17 關於下列之放大器,若電晶體操作於飽和區,且電流源為理想,下列敘述何者錯誤? (A)I
bias
增加,若電晶體維持操作於飽和區,則其電壓增益越大 (B)Cs=0 則其電壓增益為 0 (C)若 W/L 減少則電晶體可能從飽和區進入三極管區(triode region) (D)若 R
D
增加則電晶體可能從飽和區進入三極管區(triode region
18 如圖的放大器(其偏壓電路未示),若電晶體的轉導參數為 g
m
,輸出電阻為 r
o
,則此放大器的電壓 增益約為何? (A)-g
m
R
C
(B)-g
m
(RC//r
o
) (C)-R
C
/R
E
(D)-r
o
/R
E
19 雙極性接面電晶體中,下列何種電路組態其小訊號輸入阻抗為最大? (A)共射極組態 (B)共基極組態 (C)共集極組態 (D)共閘極組態
20 若要使一操作於飽和區的 MOS 電晶體的轉導值增為 2 倍,可藉由下列的何種方式改變汲極電流 I
D
來達成? (A)將 I
D
增為 4 倍 (B)將 I
D
增為 2 倍 (C)將 I
D
增為
倍 (D)將 I
D
減半
21 有關 BJT 雙極性接面電晶體與 FET 場效電晶體的一般特性比較,下列何者錯誤? (A)BJT 的轉導(Transconductance)g
m
比 FET 的轉導大 (B)BJT 的輸出電阻 r
o
比 FET 的輸出電阻小 (C)BJT 的本質增益(Intrinsic Gain)A
0
比 FET 的本質增益大 (D)BJT 的輸入阻抗 R
i
比 FET 的輸入阻抗小
22 如圖所示之電路,若 MOSFET 操作在飽和區(Saturation Region)且轉導值(g
m
)為 1 mA/V,輸出 阻抗(r
o
)為 10 kΩ,試求 V
o
/V
i
=? (A)-2.5 (B)-5 (C)-10 (D)-20
23 圖示電路,若電晶體 β=100,V
BE(on)
=0.7 V,電流 I
C
約為若干 mA? (A) 0.2 (B)0.4 (C)0.7 (D)1.3
24 P 通道空乏型 MOSFET 閘極加上正電壓時,其通道導通程度會: (A)減小 (B)加大 (C)無影響 (D)不一定
25 如圖電路,設電晶體的 β=100,V
BE
=0.7 V,則 I
C
電流約為:
(A)19.6 mA (B)9.3 mA (C)0.1 mA (D)0 mA
26 圖示放大器電路中的電阻 R
e
主要功用為何?
(A)降低輸出阻抗 (B)提升電壓增益 (C)提高輸入訊號的線性放大範圍 (D)頻率補償
27 在 BJT 的小訊號參數中,下列那一個關係式錯誤? (A)r
e
=V
T
/I
E
(B)r
π
=V
T
/I
B
(C)g
m
=I
C
/V
T
(D)ro=V
T
/I
C
28 如圖所示之電路,假設 BJT 電晶體操作在順向主動區,忽略爾利(Early)效應,I
C
=1 mA,V
T
=26 mV, β=100,C
π
=100 fF,C
μ
=20 fF,且 C
CS
=30 fF,採用米勒(Miller)趨近法,求於 BJT 輸入端之極點 頻率為何? (A)516 MHz (B)616 MHz (C)716 MHz (D)816 MHz
29 如圖所示之電路,若忽略元件本身之寄生電容,下列敘述何者錯誤?
(A)該電路為高通放大器 (B)增加 I
b
有助於降低低頻-3 dB 頻率(ω
L
) (C)C
c
增加有助於降低低頻-3 dB 頻率(ω
L
) (D)該電路為同相放大器
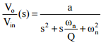
30 如圖所示之理想運算放大器電路,
,求ω
n
為何? (A)10K rad/s (B)50 K rad/s (C)100K rad/s (D)200 K rad/s
31 非反向運算放大器電路具有增益 40 dB,其 3 dB 頻率為 25 kHz,將其應用在某特殊系統中,若此系 統需要 50 kHz 的頻寬,在此情況下能夠達到的最大增益為何? (A)10 V/V (B)20 V/V (C)50 V/V (D)100 V/V
32 關於 CC-CC 放大器的特性,下列何者正確? (A)低輸入阻抗 (B)高輸出阻抗 (C)高電壓增益 (D)高電流增益
33 若增加差動放大器中之射極電阻,則: (A)A
cm
增加 (B)A
cm
不變 (C)CMRR 值增加 (D)CMRR 值減少
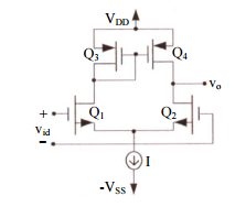
34 圖示差動放大器,若電晶體 Q
1
與 Q
2
的特性相同,Q
3
與 Q
4
的特性相同,且其轉導(Transconductance) g
m
皆為 2 mA/V、輸出電阻 r
o
皆為 20 kΩ,則差模電壓增益 A
d
=v
o
/v
id
=?
(A)-20 (B)-10 (C)10 (D)20
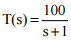
35 有一電路的轉移函數
,當頻率遠大於此電路的轉角頻率(Corner Frequency)時,頻率與 |T(s)|的變化關係,下列何者正確? (A)頻率每增大十倍,|T(s)|減少 10 dB (B)頻率每增大十倍,|T(s)|減少 20 dB (C)頻率每增大二倍,|T(s)|減少 10 dB (D)頻率每增大二倍,|T(s)|減少 20 dB
36 下圖由 5 個 NOT 閘組成之環形振盪器,若每一個 NOT 閘的延遲時間(Delay Time)為 2 ns,則此電 路之振盪頻率為多少?
(A)25 MHz (B)50 MHz (C)100 MHz (D)125 MHz
37 一個兩級串接放大器電路,其第一級放大器之低 3 分貝頻率(Lower 3 dB Frequency)與高 3 分貝頻 率(Upper 3 dB Frequency)分別為 1 kHz 與 1 MHz。電路中第二級放大器之低 3 分貝頻率(Lower 3 dB Frequency)與高 3 分貝頻率(Upper 3 dB Frequency)分別為 10 kHz 與 2 MHz。則此放大器之頻 寬約為: (A)990 kHz (B)999 kHz (C)1990 kHz (D)1999 kHz
38 關於韋恩(Wien)振盪器,下列敘述何者正確? (A)振盪波形為方波 (B)振盪波形為三角波 (C)振盪波形為單一脈波 (D)振盪波形為弦波
39 圖示放大器中所有電晶體特性完全相同且匹配,所有電晶體的|V
A
|=2 V,過驅電壓(Overdrive voltage) |V
OV
|=|V
GS
-V
t
|=0.2 V,工作電流 I
D
皆為 0.2 mA,則輸出阻抗 R
o
約為若干 kΩ? (A)50 (B)100 (C)150 (D)200
40 下列為一被動式濾波器(Passive filter),試研判此電路是何種濾波器?
(A)低通濾波器 (B)高通濾波器 (C)帶通濾波器 (D)帶拒濾波器
申論題 (0)
相關試卷
115年 - 115 初等考試_電子工程:電子學大意#136710
115年 · #136710
114年 - 114 初等考試_電子工程:電子學大意#124880
114年 · #124880
113年 - 113 初等考試_電子工程:電子學大意#118527
113年 · #118527
112年 - 112 地方政府特種考試_五等_電子工程:電子學大意#118362
112年 · #118362
112年 - 112 鐵路、國家安全情報特種考試_佐級、五等_電子工程、電子組:電子學大意#114944
112年 · #114944
112年 - 112 身心障礙特種考試_五等_電子工程:電子學大意#113943
112年 · #113943
112年 - 112 初等考試_電子工程:電子學大意#112891
112年 · #112891
111年 - 111 地方政府特種考試_五等_電子工程:電子學大意#112600
111年 · #112600
111年 - 111 鐵路特種考試_佐級_電子工程:電子學大意#108515
111年 · #108515
111年 - 111 初等考試_電子工程:電子學大意#105667
111年 · #105667