所屬科目:1.電路學 2.電子學
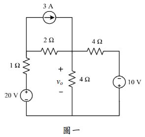
一、如圖一之直流電路,試求 =?
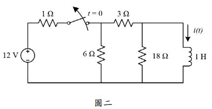
二、如圖二之開關於 t < 0 維持閉合,並使電路達穩定狀態;開關於 t = 0 瞬間打開,試求 通過該電感之電流 i(t >0) =?
三、如圖三所示之理想變壓器(transformer)交流電路,試計算其輸入阻抗 Zin =?
⑴試 以 拉 式 轉 換( Laplace transform),推 導 轉 換 函 數( transfer function)?
⑵依據 H(s)表示式,請說明其為低通濾波器、高通濾波器或帶通濾波器?
五、如圖五之雙埠電路包含一理想運算放大器,導納參數(admittance parameter, y)矩陣 定義為:
=?