二、你是負責鳥嘴潭人工湖設計的工程師,若要你去評估該人工湖的日蒸發量,假設你 取得的某一天相關自由水面的能量收支參數如下:(20 分)
1.當天的射入水中的太陽輻射熱能為 Qs = 800 cal/cm2 day,且其中有 12%被反射。由大氣至水受長波輻射後,水的淨能量損失為 Qb = 333 cal/cm2day
2.空氣溫度 Ta = 4℃,水體溫度 Tw = 10℃,且此時大氣壓力 P = 1,005 mb,相對溼度為 Hr = 60%。
3.倘若,當此時儲存於水中的能量增量為零(Qq = 0),於水中對流的淨能量也為零 (Qv = 0),且水體溫度不變。
相關公式:蒸發潛熱 L = 597.3-0.564 Tw,其中 Tw為水體溫度(單位:℃)
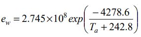
飽和蒸汽壓

,其中 T
a為空氣溫度(單位:℃)
包文值(Bowens ratio)

,其中 e
a 為空氣的水汽壓力(單位:mb)