所屬科目:研究所、轉學考(插大)-微積分
(a) (7%)
(b)(8%)
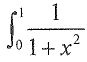
(b) (6%) Approximate bx the Simpson's rule with n= 4 and round to the third decimal place.
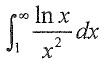
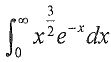
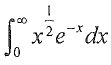
(c) (7%) Evaluate.
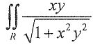
(b) (8%) dA, where R is the region bounded by y=0, y=, x=4.
(c) (10%) dA, where R is the region bounded by xy=1, xy=3, y=x, y=2x,by the setting u =xy,