阿摩線上測驗
登入
首頁
>
研究所、轉學考(插大)-微積分
>
107年 - 107 國立臺北大學日間學士班暨進修學士班轉學生招生考試_統計學系日間學士班二、三年級:微積分#116789
> 申論題
題組內容
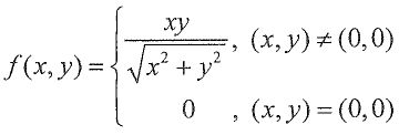
4. Let
(a) (7%) Find f
x
(0,0) and f
y
(0,0).
相關申論題
(a) (7%) Find all critical values of f.
#499029
(b) (6%) Find f"(x) , the second derivative of f.
#499030
(c) (6%) Find all relative extrema of f.
#499031
(d) (6%) Find all points of inflection of f.
#499032
(a) (7%)
#499033
(b)(8%)
#499034
(a) (7%) Calculate the upper sum U(f,p) and the lower sum L(f,p) of f over the partition P. Rounded the answers to the third decimal place.
#499035
(b) (6%) Approximate bx the Simpson's rule with n= 4 and round to the third decimal place.
#499036
(c) (7%) Evaluate.
#499037
(b) (8%) Explain f is differentiable at (0,0) or not.
#499039
相關試卷
114年 - 114 臺灣綜合大學系統_學士班轉學生考試試題:微積分A#137897
114年 · #137897
114年 - 114 臺灣綜合大學系統_學士班轉學生考試試題:微積分B#137819
114年 · #137819
114年 - 114 台灣聯合大學系統_學士班轉學生考試試題:微積分#137762
114年 · #137762
114年 - 114 台灣聯合大學系統_學士班轉學生考試試題:微積分#137761
114年 · #137761
114年 - 114 國立臺灣大學_轉學生招生考試_物理學系/土木工程學系/生物環境系統工程學系/生物機電工程學系:微積分(B)#137745
114年 · #137745
114年 - 114 國立臺灣大學_轉學生招生考試_數學系:微積分(A)#137744
114年 · #137744
113年 - 113 國立嘉義大學_轉學生招生考試試題_(全校):微積分#122986
113年 · #122986
112年 - 112 國立臺灣大學_碩士班招生考試題:微積分(D)#130254
112年 · #130254
112年 - 112 國立陽明交通大學_碩士班入學招生試題_統計學研究所﹕微積分與線性代數#130252
112年 · #130252
112年 - 112 國立嘉義大學_轉學生招生考試試題:微積分#123297
112年 · #123297