所屬科目:鋼結構設計
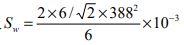
三、試以容許應力設計法(ASD)檢核圖中 SN400B 鋼箱型柱-H 型梁接頭之 銲接尺寸。梁翼與梁腹負擔彎矩分別為M f = 124.5 kNm與Mw = 25.5 kNm。 梁腹銲喉斷面模數 ,而銲道外側拉 應力。銲道容許應力。(30 分)