所屬科目:鋼結構設計
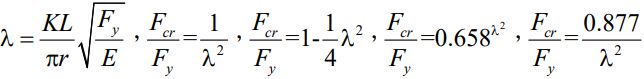
一、型鋼桿件中若存在殘餘應力可能導致桿件軸向壓力強度下降,在無殘餘應力之理想狀態下,桿件之挫屈強度曲線可由下方對應λ=如圖(a)所示。試考慮一斷面為 RH400✖ 400✖13✖21之受壓桿件,假設其斷面因製程過程所導致之殘餘應力分布,如圖(b)所示,包含殘餘壓應力0.5Fy 及殘餘拉應力 0.4 Fy。假設其鋼材之應力-應變關係為完全彈塑性,如圖(c)所示,而斷面之慣性矩 Ix = 66,600 cm4,Iy = 22,400 cm4。針對此具殘餘應力影響之受壓桿件,繪製該斷面強軸(x 軸)挫屈方向之挫屈F強度曲線圖( ~ λ圖) ,圖中須標註曲線之函數方程式,並標註圖中轉折Fy點之坐標數值。(25 分)參考公式:
(一)以極限設計法求此桿件之設計強度(Φt Tn),請詳述可能之極限狀態種類。(15 分)
(二)依前一小題之所得之設計強度為銲接之設計力,設計此接頭之銲道尺寸。 (10 分)其中 A500 Grade 50 鋼材之 Fy = 2.3 tf/cm2,Fu = 3.1 tf/cm2。圓管之斷面積 Ag = 82.6 cm2 ,十字形連接板厚 tg = 20 mm。參考公式:U = 1 - ,(半圓管) ,U=
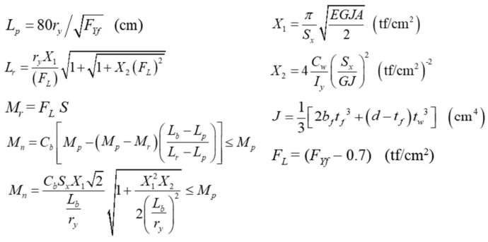
三、依下圖示梁採用 RH488✖ 300✖11✖ 18 斷面及 SN490B 鋼材,假設此斷面為結實斷面,其降伏應力 Fy = 2.35 tf/cm2 及 Fu = 4.0 tf/cm2 ,並分別以斷面強軸與弱軸承受一集中載重。兩者之支承條件相同,滾支承並無面外束制,且 A 及 B 處翼板皆有設置充分側向支撐,試檢核此梁是否可以承擔如圖(a)及圖(b)所示之 5 tf 靜載重及 5 tf 活載重。檢核時忽略梁自重,並以下方公式估算 Cb 值。(25 分)參考公式:
四、下圖為國內典型梁柱接頭型式,梁為 H 型鋼斷面,柱為箱型鋼斷面,試申論說明該類梁柱接頭內各式銲接及其相鄰母材可能產生之潛在破壞模式為何?其對應之預防方法與檢測方式為何?(25 分)