所屬科目:流體力學與水文學
一、請利用下圖所示,推導流體靜力學中,壓力強度與深度之關係式 ()。(10 分)
二、比重 0.88 的油從 A 點流至 B 點(系統如下圖所示),本系統之能量損失 忽略不計,試求此油體之流量。(20 分)
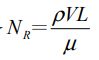
三、請利用雷諾數定義及因次分析,推導 ,並詳述管流中雷諾數之 流況意義。(10 分)
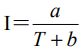
四、某地區30年間之暴雨統計資料如下表,請利用Talbot型方程式( ) 及最小二乘法計算設計頻率為 5 年發生一次之暴雨率式。(15 分)
五、已知在 100 年 1 月至 102 年 5 月期間某河川月流量歷線紀錄資料如下表所 示,試求水庫每日需供水量為 172800 m3 而不致缺水之水庫蓄水量。(15 分)
六、某河川 24 年來之年最大流量紀錄資料如下表所示,當水壩施工時以導 水隧道導引河水,若在 5 年之施工期間容許風險為 18.5%,試利用韋伯 (Weibull)點繪公式推求導水隧道之設計流量。(10 分)
七、某社區抽水系統之抽水容量與抽水揚程資料如下表,當設計抽水容量至 少為225 gpm時,試利用圖⑴(2"×3"6"~10"離心式抽水機,轉速為3500 rpm 之抽水機性能曲線)及圖⑵(不同型式離心式抽水機之比速度(Ns)與比 直 徑 (Ds) 關係),選擇適用此社區之離心式抽水機型式與效率 (Efficiency)。(20 分)