所屬科目:流體力學與水文學
一、下圖中的汽球充滿氦氣時,整顆球中氦氣之重量為相同條件充滿空氣時的質量之七 分之一。其在空氣中所受向上的浮力可表示成Fb = ρ air gVballoon(Fb為浮力,ρ air為 空氣之密度, g 為重力加速度,Vballoon為汽球之體積)。今若用此顆汽球載運壹套重 70 公斤之空氣懸浮微粒採樣器,若此時汽球直徑為 12 公尺,試求此汽球在地面上剛 釋放時的初始向上加速度(註:空氣密度為 1.16 kg/m3 ,且維繫此汽球與採樣器之間 的繩索重量可以忽略)。(20 分)
三、在穩態二維不可壓縮流場中, ,其中 為速度, u 及v分別為x及 y 方向之速度分量, 及 分別為 x及 y 方向之單位向量。請證明此 流況為不可壓縮流況。(10 分)
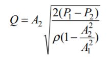
四、流體(密度為ρ)流經一水平置放的文卓利設計儀器(Venturi tube),其入口(斷面 1)的斷面積為 A1,而在束縮處(斷面 2)的斷面積為 A2,又在斷面 1 處的儀器壓為 P1,斷面 2 處的儀器壓為P2。若忽略摩擦損失,請證明流體在此水平置放的文卓利 設計儀中的流量(Q)。(20 分)