所屬科目:流體力學與水文學
一、某一河流長 3.6 km,縱向坡度 S = 0.03,集水區面積 A = 360 ha,集流時間 ,其中流長 L(m),重現期距 T(yr),集流時間,降雨強度 i (mm/hr)。求 10 年及 50 年之設計流量(cms) 。假設逕流係數 C = 0.7 。(20 分)
(一)勢流理論下之流體質點在位置處之壓力梯度; (10 分)
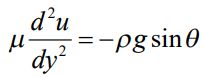
四、一傾斜坡面(傾角為θ )上自由薄層流之運動方程式如下:式中, u = u ( y ) 為流速,y 為垂直坡面距離, μ為流體黏滯度, ρ為流體 密度,g 為重力加速度。此流動達到穩定後之水深為 h。請求解流速分布。注意:適當的邊界條件自己加入。(20 分)
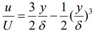
五、平板上有一均勻流流過,其速度分布如下:式中, u = u ( y ) 為流速,y 為垂直平板的距離,U 為從無限遠處流過來之 均勻流流速,δ為層流邊界層厚度,若δ* 為邊界層之位移厚度(displacement thickness),試問(20 分)