所屬科目:教師專業碩士◆數學專業
1. 設z為一複數,且=i(其中i=√-1 ),則=______。
2. 若 =_______。
4. 若的餘式為______。
5. 6 個直徑為 4 公分的圓以外切的方式排列如下圖所示,則灰色部分面積為 ______平方公分。
6. 方程式中所有解的平方和為______。
7. 若之反函數為______。
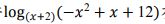
8. 若有意義,則 x 的範圍為______。
9. 擲三顆公正的骰子一次,在至少出現一顆為 4 點的條件下,其點數和為偶數的機率為 ,則a+b =______。
10. 若α皆為實數且滿足, 則 =______。
11. 若為坐標平面上的四個點,所在平面上的動點且。若90° ≤ ∠BAP ≤ 180°且0° ≤ ∠BCP ≤ 90°,則 的最小值為______。
12. 拋物線的圖形與 x 軸的交點為 A 與 B,而以 A 與 B 為切點所 做成拋物線的切線為 L1 與 L2,則 L1 和 L2 與拋物線圍成的封閉區域面積為 ______。
13. 若角θ 的終邊在直線 y= 4x 上,則= ______。
14. 若為實數且x+y+z=5,則的最小值為 ______。
15. 一平面E過點 A(1, 2,3) 且分別與二平面垂 直,則此平面 E 的方程式為______。
16. 若,C點在曲線y=x2上,欲使的面積最小,則C點坐 標為______。
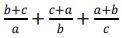
17. 若 ,則之最小值為______。
18. 若多項式除以2x+1的餘式為8,則的餘式為______。
20. =______。