阿摩線上測驗
登入
首頁
>
研究所、轉學考(插大)-微積分
> 108年 - 108中原大學_碩士班招生考試_應用數學系:微積分#101462
108年 - 108中原大學_碩士班招生考試_應用數學系:微積分#101462
科目:
研究所、轉學考(插大)-微積分 |
年份:
108年 |
選擇題數:
0 |
申論題數:
13
試卷資訊
所屬科目:
研究所、轉學考(插大)-微積分
選擇題 (0)
申論題 (13)
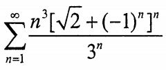
(a)
(b)
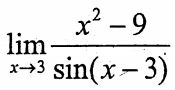
(a)
(b)
3.已知直線y=m(x-a)與曲線
相切於點(-1,-7/4),試求 m與a之值。
4.試計算不定積分∫ sec x dx
二、微積分(B)
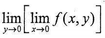
1.設
(x>0,y>0).
試求
(a)
(b)
(a)
(b)
(c)
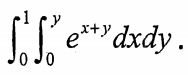
4.試求重積分
相關試卷
114年 - 114 臺灣綜合大學系統_學士班轉學生考試試題:微積分A#137897
114年 · #137897
114年 - 114 臺灣綜合大學系統_學士班轉學生考試試題:微積分B#137819
114年 · #137819
114年 - 114 台灣聯合大學系統_學士班轉學生考試試題:微積分#137762
114年 · #137762
114年 - 114 台灣聯合大學系統_學士班轉學生考試試題:微積分#137761
114年 · #137761
114年 - 114 國立臺灣大學_轉學生招生考試_物理學系/土木工程學系/生物環境系統工程學系/生物機電工程學系:微積分(B)#137745
114年 · #137745
114年 - 114 國立臺灣大學_轉學生招生考試_數學系:微積分(A)#137744
114年 · #137744
113年 - 113 國立嘉義大學_轉學生招生考試試題_(全校):微積分#122986
113年 · #122986
112年 - 112 國立臺灣大學_碩士班招生考試題:微積分(D)#130254
112年 · #130254
112年 - 112 國立陽明交通大學_碩士班入學招生試題_統計學研究所﹕微積分與線性代數#130252
112年 · #130252
112年 - 112 國立嘉義大學_轉學生招生考試試題:微積分#123297
112年 · #123297