阿摩線上測驗
登入
首頁
>
研究所、轉學考(插大)-微積分
>
108年 - 108中原大學_碩士班招生考試_應用數學系:微積分#101462
> 申論題
題組內容
3.設
試求下列各極限:
(a)
相關申論題
(a)
#425917
(b)
#425918
(a)
#425919
(b)
#425920
3.已知直線y=m(x-a)與曲線相切於點(-1,-7/4),試求 m與a之值。
#425921
4.試計算不定積分∫ sec x dx
#425922
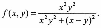
二、微積分(B) 1.設 (x>0,y>0). 試求
#425923
(a)
#425924
(b)
#425925
(b)
#425927
相關試卷
114年 - 114 臺灣綜合大學系統_學士班轉學生考試試題:微積分A#137897
114年 · #137897
114年 - 114 臺灣綜合大學系統_學士班轉學生考試試題:微積分B#137819
114年 · #137819
114年 - 114 台灣聯合大學系統_學士班轉學生考試試題:微積分#137762
114年 · #137762
114年 - 114 台灣聯合大學系統_學士班轉學生考試試題:微積分#137761
114年 · #137761
114年 - 114 國立臺灣大學_轉學生招生考試_物理學系/土木工程學系/生物環境系統工程學系/生物機電工程學系:微積分(B)#137745
114年 · #137745
114年 - 114 國立臺灣大學_轉學生招生考試_數學系:微積分(A)#137744
114年 · #137744
113年 - 113 國立嘉義大學_轉學生招生考試試題_(全校):微積分#122986
113年 · #122986
112年 - 112 國立臺灣大學_碩士班招生考試題:微積分(D)#130254
112年 · #130254
112年 - 112 國立陽明交通大學_碩士班入學招生試題_統計學研究所﹕微積分與線性代數#130252
112年 · #130252
112年 - 112 國立嘉義大學_轉學生招生考試試題:微積分#123297
112年 · #123297