所屬科目:水文學
二、某河段利用在上、下游建置之兩測站校驗其水位-流量紀錄,校驗結果 如下表所示,試以固定落差法推估當主水位站水位仍為 12.00 m,輔助 水位站水位為 11.37 m 時之流量?(20 分) 提示: 表示某固定落差F0之對應流量
三、某擬開發之新市鎮面積有 20 km2,其中住宅區有 9 km2,商業區有 7 km2, 4 km2為綠地,已知各區之逕流係數如下表,假設雨水由該新市鎮之最遠 端到達擬規劃興建之下水道入口需時 10 min,而下水道長為 3000 m,其 設計流速為 1.5 m/sec,若雨量強度 i 可按下式計算:i(mm/hr)=1851/ [t(min)+19]0.7,試以合理法公式推求下水道出口之尖峰流量(cms)? (20 分)
四、滲透係數 K 為 35 m/day 之某拘限含水層(confined aquifer)厚 30 m,鑿 有一直徑 20 cm 之抽水井,水井經長期抽水達穩定之 3 m 洩降(drawdown) 及 300 m 之影響半徑(radius of influence),試問其抽水量為若干?若水 井直徑擴大一倍,即直徑改為 40 cm,影響半徑同為 300 m,同樣達穩定 之 3 m 洩降,其抽水量變為若干?該抽水量增加了多少%?(20 分)
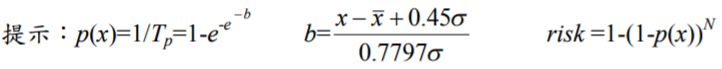
五、某計畫區擬規劃一水資源工程,該計畫區之年最大暴雨,據歷史紀錄統 計分析得其平均值為 254 mm,標準差為 64 mm,若此工程規劃僅能承受 400 mm 之年最大暴雨,試利用甘倍爾極端值分布 I 型(Gumbel extreme value type I)推估可能等於或大於該 400 mm 暴雨發生之機率?又在 10 年中至少有 1 年會發生等於或大於該 400 mm 暴雨之風險(risk)為何? (20 分)