所屬科目:輻射防護員◆游離輻射防護專業
5. 下列何者並非輻射生物學中細胞效應的 4R? (A)修復(Repair) (B)再氧化(Reoxygenation) (C)再發生(Recurrence) (D)再分佈(Redistribution)
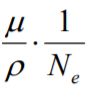
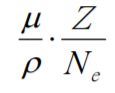
9. 若以 μ/ρ 表示質量衰減係數,其單位為 m2 /kg,以 Ne表示每克的電子(electron)數,Z 表 示物質的原子序數,當電子的衰減係數(μe)以 m2 /electron 為單位時,其值為下列何者? (A) (B)(C)(D)
12. 60Co 核種之比加馬常數(specific gamma ray constant) Γ 值約為多少? (空氣質量吸收係數為)(A)18.4(B)13.0(C)8.25(D)3.30
15. 加馬光子的能量為 300 keV、通量率為 1000 /cm2●s,空氣的質量能量吸收係數為 0.0287 cm2 /g,請問曝露率(C/kg●s)最接近下列何者? (A) 28.7 (B) 8610 (C) 1.38✖10-9 (D) 4.06✖10-11
1. 下圖為 1μg 靶物質(圓圈中的體積)經光子輻射照射的能量傳遞情形,若能量 hν 1=300 keV 之光子在靶體積內發生康普吞效應,散射光子能量為 hν 2=100 keV 及所產生之康普 吞電子初始動能為 T1=200 keV;該電子在靶體積中發射出 hν 3=30 keV 之制動輻射(逸 出靶體積,而無任何之相互作用於靶體積內),該電子在離開靶體積時尚有 T2=80 keV 之動能。同時另有一能量 hν4=100 keV 之光子在靶體積外發生光電效應,產生之光電 子初始動能為 T3=100 keV,此光電子進入靶體積時之動能為 T4=60 keV。請計算在此過 程中靶體積內之 (a)吸收劑量=?μGy (b)總克馬=?μGy
2. 有一個 1 Ci 活度的 137Cs 點射源,Γ常數為 0.33 R·m2 /(h·Ci),若要使距此射源 1 m 處 的曝露率不超過 2 mR/h,則至少需要多少 cm 的鉛板作為屏蔽? (鉛對 137Cs 的加馬射線衰減係數μ= 1.24 cm-1)
6. 總直線衰減係數μ可以右式表示: ;請說明式中τ、σcoh、σinc、 κ 之作用截面分別是來自於光子與物質的何種作用之貢獻?
7. 當 Cs-137 蛻變成 Ba-137 時,會放出 662 keV 的γ射線,若 Ba-137 K 層及 L 層電子的 束縛能分別為 38 keV 和 6 keV,請 (a)計算所產生γ射線的頻率與波長為多少? (b)計 算由 K 層打出的內轉換電子之能量為多少 keV? (普朗克常數 )