阿摩線上測驗 登入

試題詳解

試卷:108年 - 108-2 行政院原子能委員會_輻射防護員:游離輻射防護專業#80047 | 科目:輻射防護員◆游離輻射防護專業

試卷資訊

試卷名稱:108年 - 108-2 行政院原子能委員會_輻射防護員:游離輻射防護專業#80047

年份:108年

科目:輻射防護員◆游離輻射防護專業

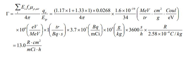
12. 60Co 核種之比加馬常數(specific gamma ray constant) Γ 值約為多少5dbbc60c11796.jpg? (空氣質量吸收係數為5dbbc627bdf00.jpg
(A)18.4
(B)13.0
(C)8.25
(D)3.30

正確答案:登入後查看