所屬科目:教甄◆數學專業
1.在一邊長為 n 的正方形方格中,以最左下的位置為起始點,向內螺旋的方式排列正整數,如圖所示, 為n =3與n= 5的排列結果。若n = 15 ,試求左下至右上的對角線上所有元素的和為__________。
2. 若 x為自然數, A, B ,C , D 為 x的最小的四個相異正因數,且滿足 ,試求 x = __________。
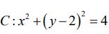
3. 在坐標平面上,設圓 ,有兩條切線方程式 L 和 M ,直線 L 的 x 截距 a 且 y 截距 2b ,直線 M 的 x 截距2a 且 y 截距b ,其中 a 與b 均為正實數,試求數對(a, b) =__________。
4. 若 且 ,則 = ___________。
6.△ABC 中, 且∠C 20°,分別在、上取 D 點、E 點,使得∠DAE10°、∠EBD 20°, 請問∠AED的度數為__________。
7. 設平面上有△ ABC 與△PQR ,若 , ,, 求△PQR 與△ ABC 之面積比值___________。
9. ,且 A<B<1000,則 B-A 之值為 ___________
10.設直線(n為自然數)與兩坐標軸圍成的三角形面積, 則S1+S2+S3+...+S2020的值為______________
11.二次函數的圖形一部分如圖所示,則 a 值的範圍為 _______
13.設 D、E 分別在ΔABC 的和上,=1、= ,若ΔABC 的面積為 40,則四邊形 AEFD 的面積為 _________
14.正方形 ABCD,其中,求正方形邊長為何? _________
15.如圖,在正五邊形 ABCDE 內取一點 F,使得=、⊥ ,求∠AFE ________度。
16.如圖,△ABC 中, 、分別為兩邊上的高且交於 F 點。若=7 、= 5、=3,則的長 度為何?_________
17 如圖,△ABC 中,∠B=90°,⊥,=40,=30, 設△DEC 的內切圓半徑為r,且=4r,求半徑r__________。
19.將長方形ABCD沿著對角線摺起,使得平面ABC與平面ADC互相垂直,若 =2,=1,試求 =__________。
20.正方形 ABCD 中,△ABF、△CEF 及△DAE 的面積分別為 4、5、3,請問△AEF 的面積為何?
1.已知,若0< a< b 且 f(a)= f(b) ,其中a,b 為實數,證明:a+ 2b>3。
2.有一平行四邊形 ABCD,若過頂點 A 作一圓,且分別交、及對角線或其延長線於 E 點、F 點、G 點。請利用托勒密定理證明:
3.等腰直角三角形ΔABC中,ΔABC 的面積為 1、∠A ,E 為的中點,F 在上,且 ⊥ , 求ΔCEF 的面積?
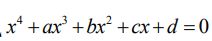
4. 實係數方程式 有四根為α 、β 、γ 、ω,其中α + β= 3+ 4i且γ ω=5+ 2i ,則 a+b+c+d= ___________。
12 如圖,圓 O 中兩條互相垂直的弦將圓 O 分成四部分:S1、S2、S3、S4。若 和的弦心距分別為 3 和 5, 則(S1+S3)-(S2+S4)=___________